Open Access
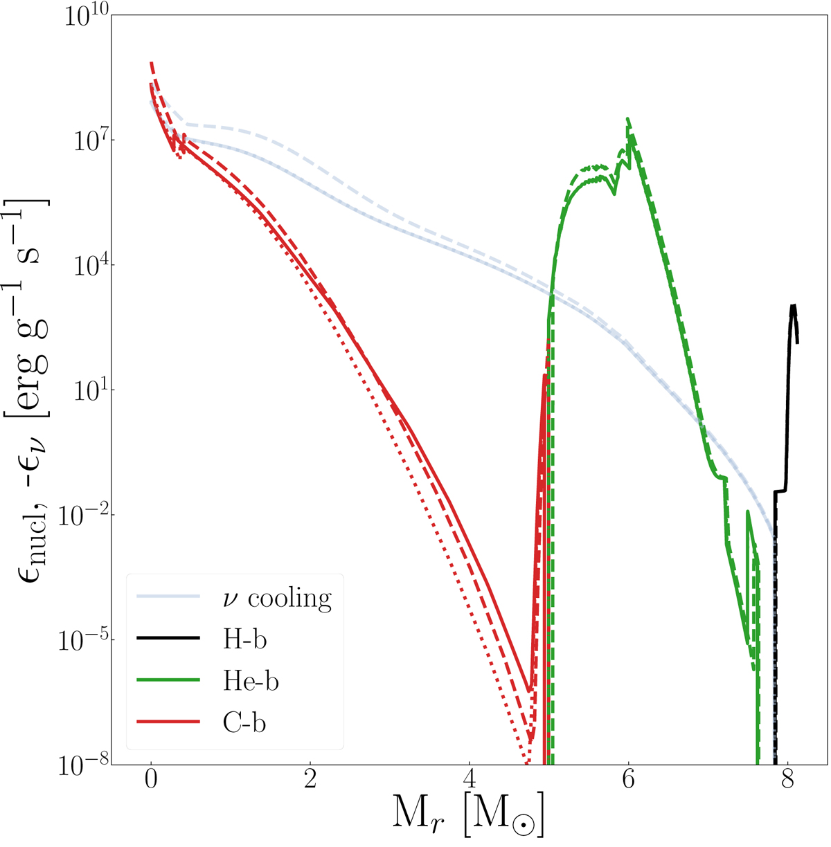
Fig. 7.

Download original image
Energy production at the mid-point of C-burning (when half the central 12C has been consumed since the beginning of C-b) for 25 M⊙ models for different 12C + 12C reaction rates. The CF88, Hin and HinRes models are plotted in plain, dashed, and dotted lines, respectively.
Current usage metrics show cumulative count of Article Views (full-text article views including HTML views, PDF and ePub downloads, according to the available data) and Abstracts Views on Vision4Press platform.
Data correspond to usage on the plateform after 2015. The current usage metrics is available 48-96 hours after online publication and is updated daily on week days.
Initial download of the metrics may take a while.