Free Access
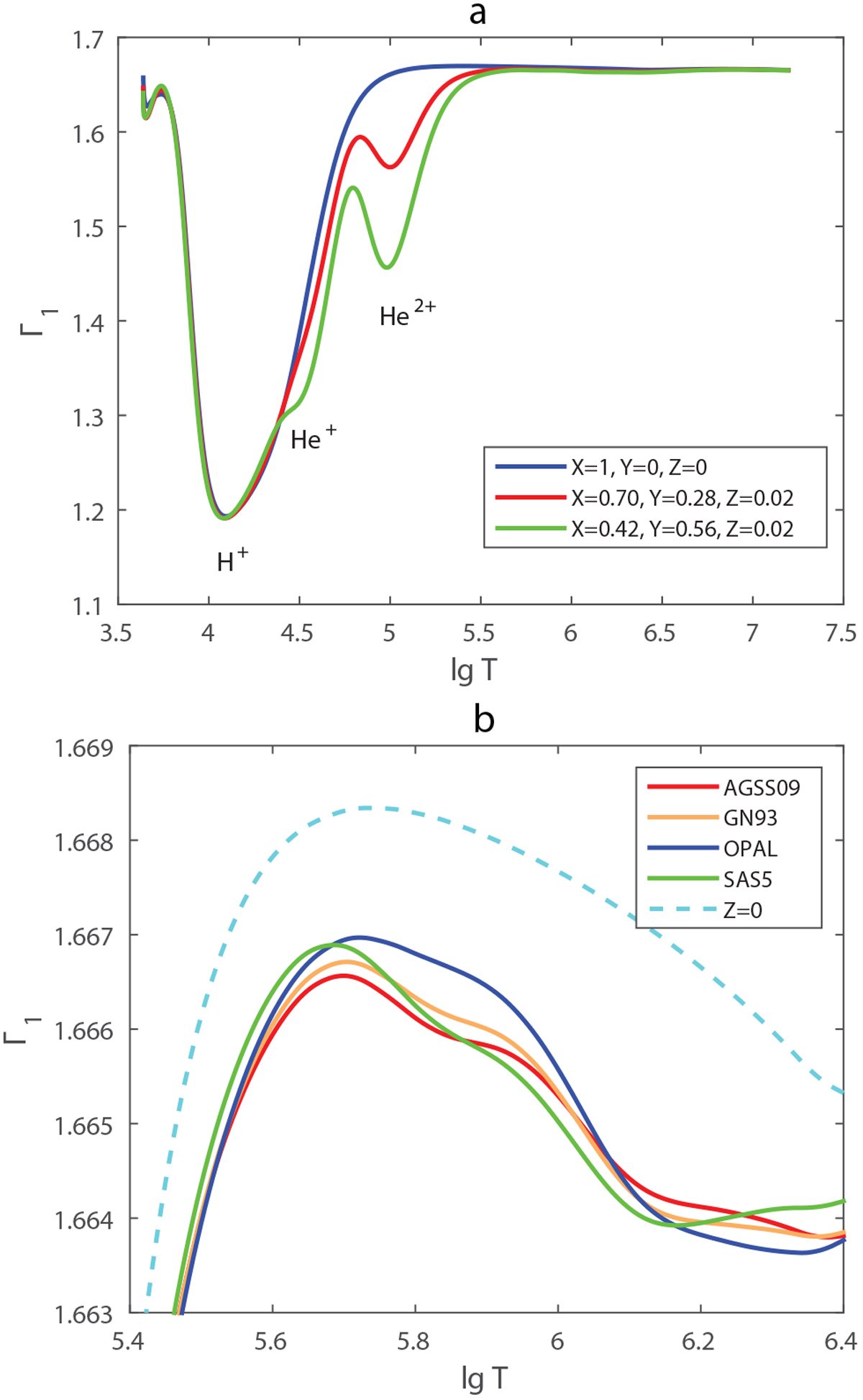
Fig. 2

Download original image
Adiabatic exponent T1 for points (T,ρ) of the standard solar model for different chemical composition of plasma. (α) Effect of helium. (b) Effect of different mixtures of heavy elements.
Current usage metrics show cumulative count of Article Views (full-text article views including HTML views, PDF and ePub downloads, according to the available data) and Abstracts Views on Vision4Press platform.
Data correspond to usage on the plateform after 2015. The current usage metrics is available 48-96 hours after online publication and is updated daily on week days.
Initial download of the metrics may take a while.