Free Access
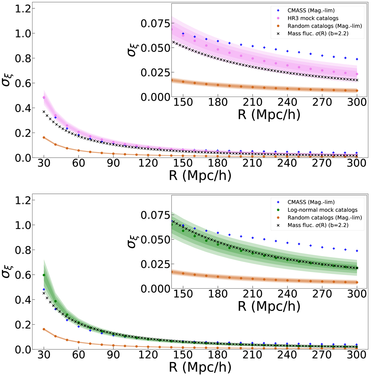
Fig. 12.

Download original image
Comparison of σξ of the CMASS sample and the HR3 and log-normal mock catalogs (same as Figs. 6d,f), together with the mass fluctuations σ(R) of linear density fields expected in the standard ΛCDM model (Planck Collaboration VI 2020).
Current usage metrics show cumulative count of Article Views (full-text article views including HTML views, PDF and ePub downloads, according to the available data) and Abstracts Views on Vision4Press platform.
Data correspond to usage on the plateform after 2015. The current usage metrics is available 48-96 hours after online publication and is updated daily on week days.
Initial download of the metrics may take a while.