Free Access
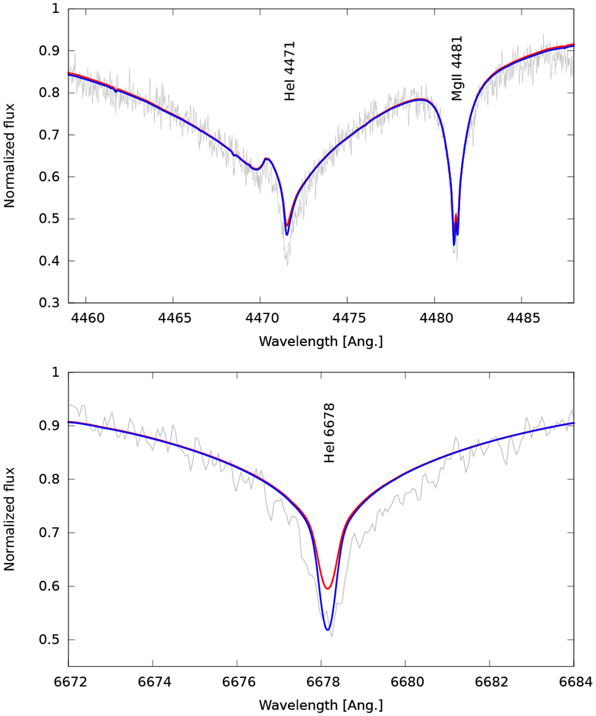
Fig. 1

Download original image
Theoretical and observed spectra in the vicinity of He I 4471 and Mg II 4481 lines (top) and He I 6678 line (bottom). Helium and magnesium lines in NLTE (blue) have slightly deeper cores than in LTE (red). Observations are plotted in gray.
Current usage metrics show cumulative count of Article Views (full-text article views including HTML views, PDF and ePub downloads, according to the available data) and Abstracts Views on Vision4Press platform.
Data correspond to usage on the plateform after 2015. The current usage metrics is available 48-96 hours after online publication and is updated daily on week days.
Initial download of the metrics may take a while.