Fig. 3

Download original image
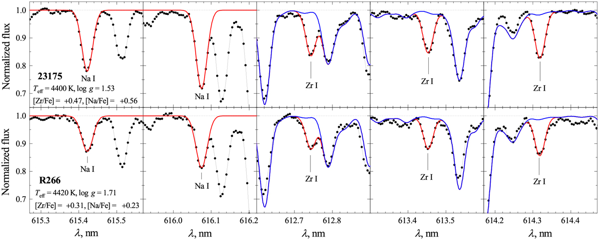
Observed (dots) and best-fitted synthetic profiles of the Na I (NLTE) and Zr I (LTE) lines (red solid lines) in the GIRAFFE spectra of two RGB stars in 47 Tuc: Na-rich (23175, 2P, top row) and Na-poor (R266, 1P, bottom row). Identification numbers of each star, their atmospheric parameters, and the determined Na and Zr abundances are provided in the leftmost panels of each row. The blue lines show synthetic spectrum computed with A(Zr) = 0 to show the possible influence of CN and other blends (further discussed in Sect. 4.3.).
Current usage metrics show cumulative count of Article Views (full-text article views including HTML views, PDF and ePub downloads, according to the available data) and Abstracts Views on Vision4Press platform.
Data correspond to usage on the plateform after 2015. The current usage metrics is available 48-96 hours after online publication and is updated daily on week days.
Initial download of the metrics may take a while.