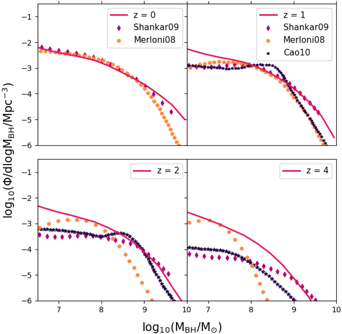
Fig. 4.

Download original image
Black hole mass function (BHMF) for z = 0, 1, 2, 4 from Croton16 model B4H10 (pink solid line). Observationally constrained mass functions are taken from Merloni & Heinz (2008) (orange circles, here z = 0.1 instead of 0), Shankar et al. (2009) (purple diamonds), and Cao (2010) (dark blue stars).
Current usage metrics show cumulative count of Article Views (full-text article views including HTML views, PDF and ePub downloads, according to the available data) and Abstracts Views on Vision4Press platform.
Data correspond to usage on the plateform after 2015. The current usage metrics is available 48-96 hours after online publication and is updated daily on week days.
Initial download of the metrics may take a while.