Free Access

Fig. 12.

image

Download original image

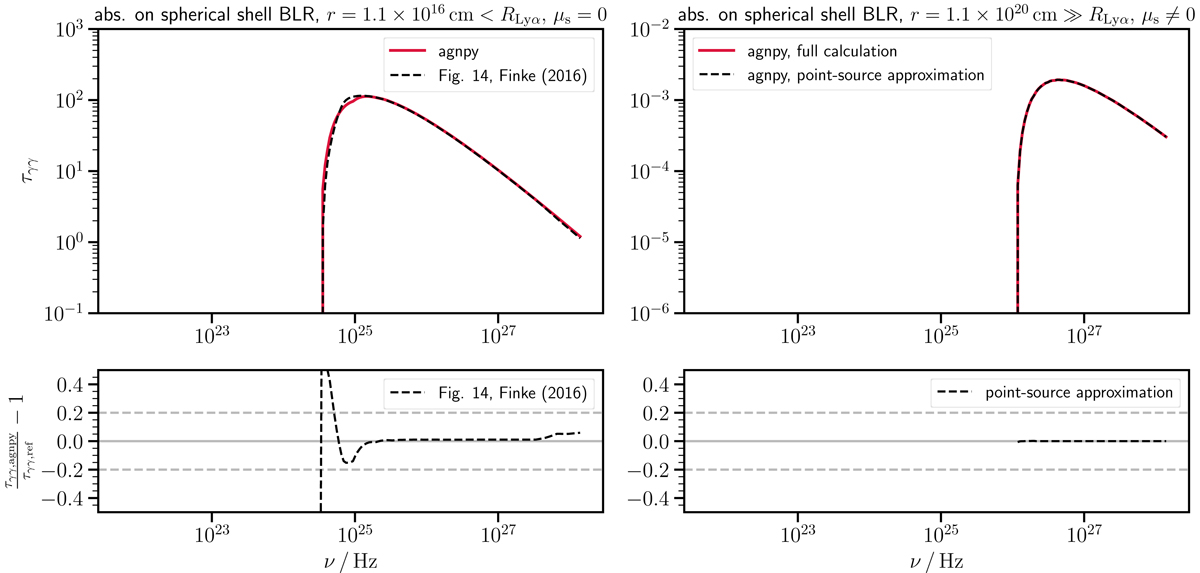
Left: comparison, for a distance smaller than the emitter size, of the γγ absorption on the BLR photon field computed by agnpy (red solid line) against the results in Finke (2016) (black dashed line). Right: comparison, for a distance much larger than the emitter size, of the opacity obtained with the full calculation using the BLR energy density (solid red line) against the calculation approximating the target with a monochromatic point source (black dashed line). To make the opacity for the point-source non null a viewing angle of θs = 20° is assumed. The bottom panels display the deviation of agnpy from the reference (or the approximation). Frequencies are given in the observer reference frame.

Current usage metrics show cumulative count of Article Views (full-text article views including HTML views, PDF and ePub downloads, according to the available data) and Abstracts Views on Vision4Press platform.

Data correspond to usage on the plateform after 2015. The current usage metrics is available 48-96 hours after online publication and is updated daily on week days.

Initial download of the metrics may take a while.