Free Access

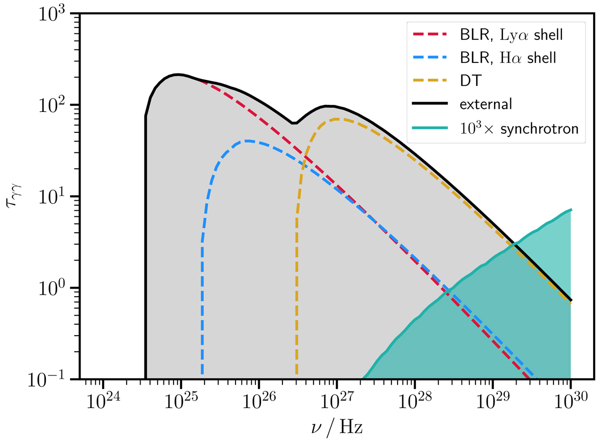
Fig. 4.

image

Download original image

Total γγ opacity (black solid line and grey shaded area) produced by photon field external to the blob: BLR (red and blue dashed lines) and DT (yellow dashed line). The BLR is assumed to be composed of two concentric shells one emitting the Lyα (red) and the other the Hα line (blue). Line and thermal emitters parameters are specified in Table B.2. The green line and shaded area represent the opacity due to the synchrotron photons produced by the second blob in Table B.1 (EC model). The latter is multiplied by 103 to be comparable with the opacity due to the external photon fields. The blob is placed well within the BLR, at r = 1.1 × 1016 cm = 0.1 × RLyα. Frequencies are given in the observer reference frame.

Current usage metrics show cumulative count of Article Views (full-text article views including HTML views, PDF and ePub downloads, according to the available data) and Abstracts Views on Vision4Press platform.

Data correspond to usage on the plateform after 2015. The current usage metrics is available 48-96 hours after online publication and is updated daily on week days.

Initial download of the metrics may take a while.