Fig. 1.

Download original image
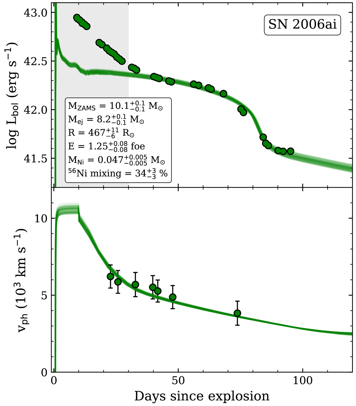
Observed bolometric LC (top panel) and Fe IIλ5169 line velocities (bottom panel) of SN 2006ai (filled markers) with models randomly sampled from the posterior distribution of the parameters (solid lines). The median value and 68% confidence range for every physical parameter are also shown. The grey shaded region shows the early data removed from the fitting (first 30 days after explosion).
Current usage metrics show cumulative count of Article Views (full-text article views including HTML views, PDF and ePub downloads, according to the available data) and Abstracts Views on Vision4Press platform.
Data correspond to usage on the plateform after 2015. The current usage metrics is available 48-96 hours after online publication and is updated daily on week days.
Initial download of the metrics may take a while.