Fig. 3.

Download original image
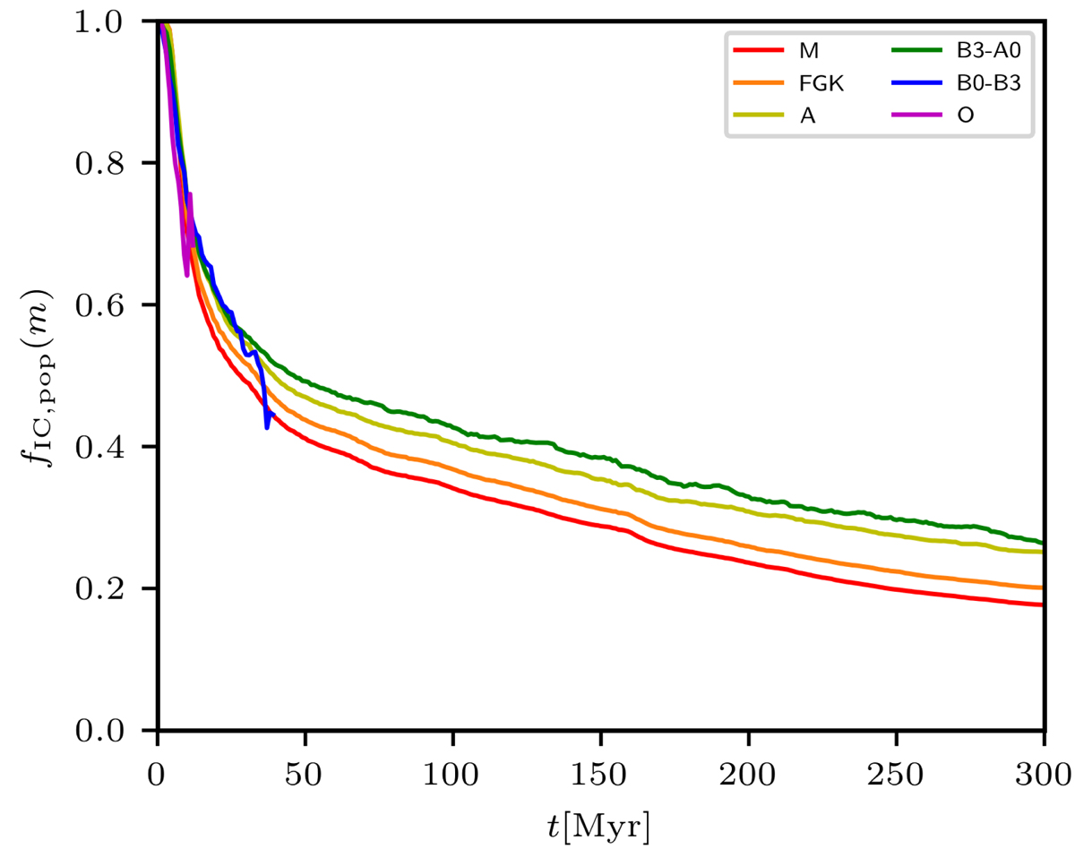
Time dependence of the fraction of M (red line), F-K (orange), A (yellow), late B (green), early B (blue), and O (magenta) stars located in clusters for clusters with Rg = 8 kpc and Z = 0.014. The clusters are assumed to form with the ECMF of Eq. (4) with β = 2, Mecl, min = 30 M⊙, and Mecl, max = 104 M⊙. At a given time, fIC, pop(m) increases with stellar mass (apart from O stars), which is the result of dynamically induced mass segregation. The O stars are slightly depleted in clusters because of their dynamical ejections.
Current usage metrics show cumulative count of Article Views (full-text article views including HTML views, PDF and ePub downloads, according to the available data) and Abstracts Views on Vision4Press platform.
Data correspond to usage on the plateform after 2015. The current usage metrics is available 48-96 hours after online publication and is updated daily on week days.
Initial download of the metrics may take a while.