Fig. 4.

Download original image
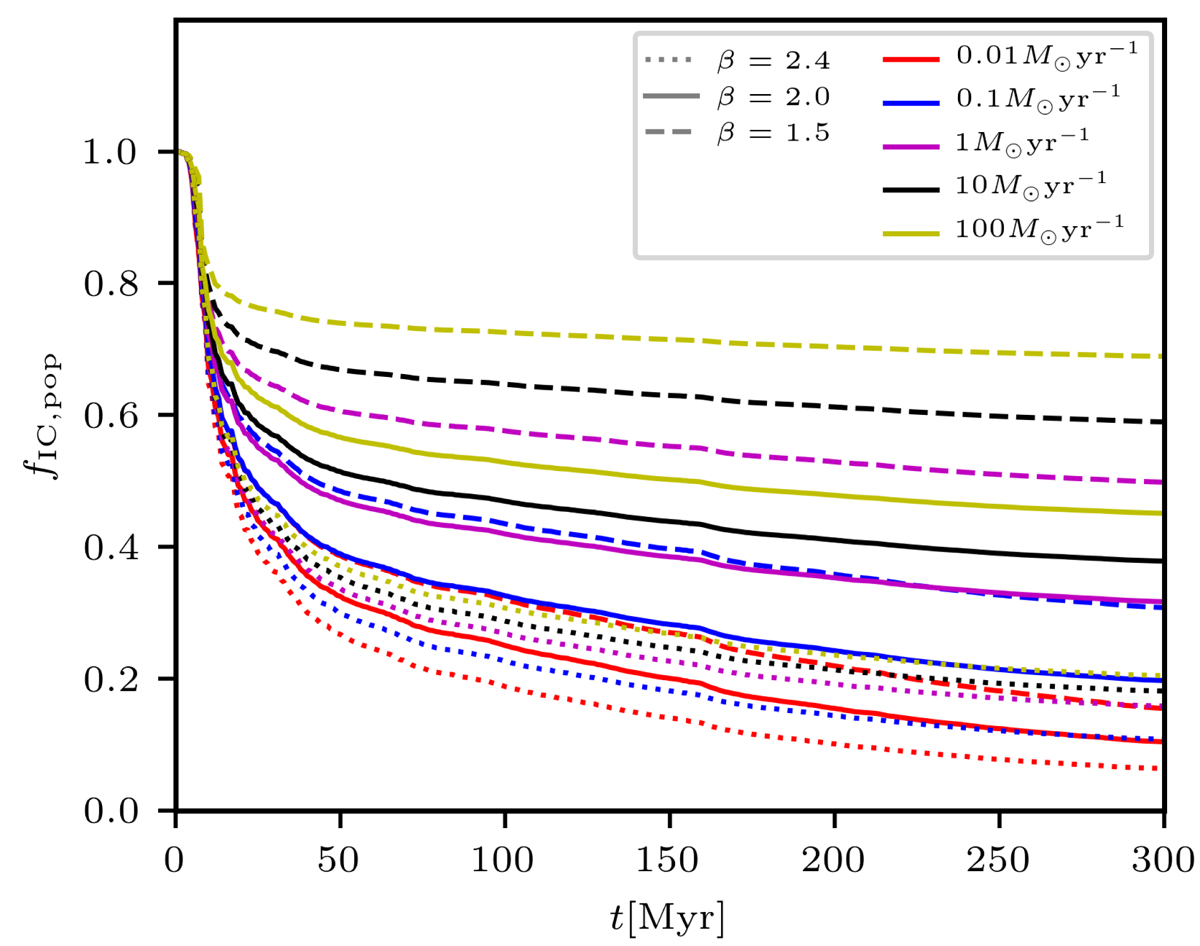
Time dependence of the galaxy-wide fIC, pop for galaxies with SFRs of 0.01 M⊙ yr−1, 0.1 M⊙ yr−1, 1 M⊙ yr−1, 10 M⊙ yr−1, and 100 M⊙ yr−1 (indicated by line colour) according to the IGIMF theory. The clusters have a metallicity of Z = 0.014 and orbit the galaxy at Rg = 8 kpc. The cluster mass range spans from 5 M⊙ to Mecl, max(SFR), which is given by Eq. (6). For each value of the SFR, we consider β = 1.5 (dashed lines), β = 2 (solid lines), and β = 2.4 (dotted lines).
Current usage metrics show cumulative count of Article Views (full-text article views including HTML views, PDF and ePub downloads, according to the available data) and Abstracts Views on Vision4Press platform.
Data correspond to usage on the plateform after 2015. The current usage metrics is available 48-96 hours after online publication and is updated daily on week days.
Initial download of the metrics may take a while.