Free Access
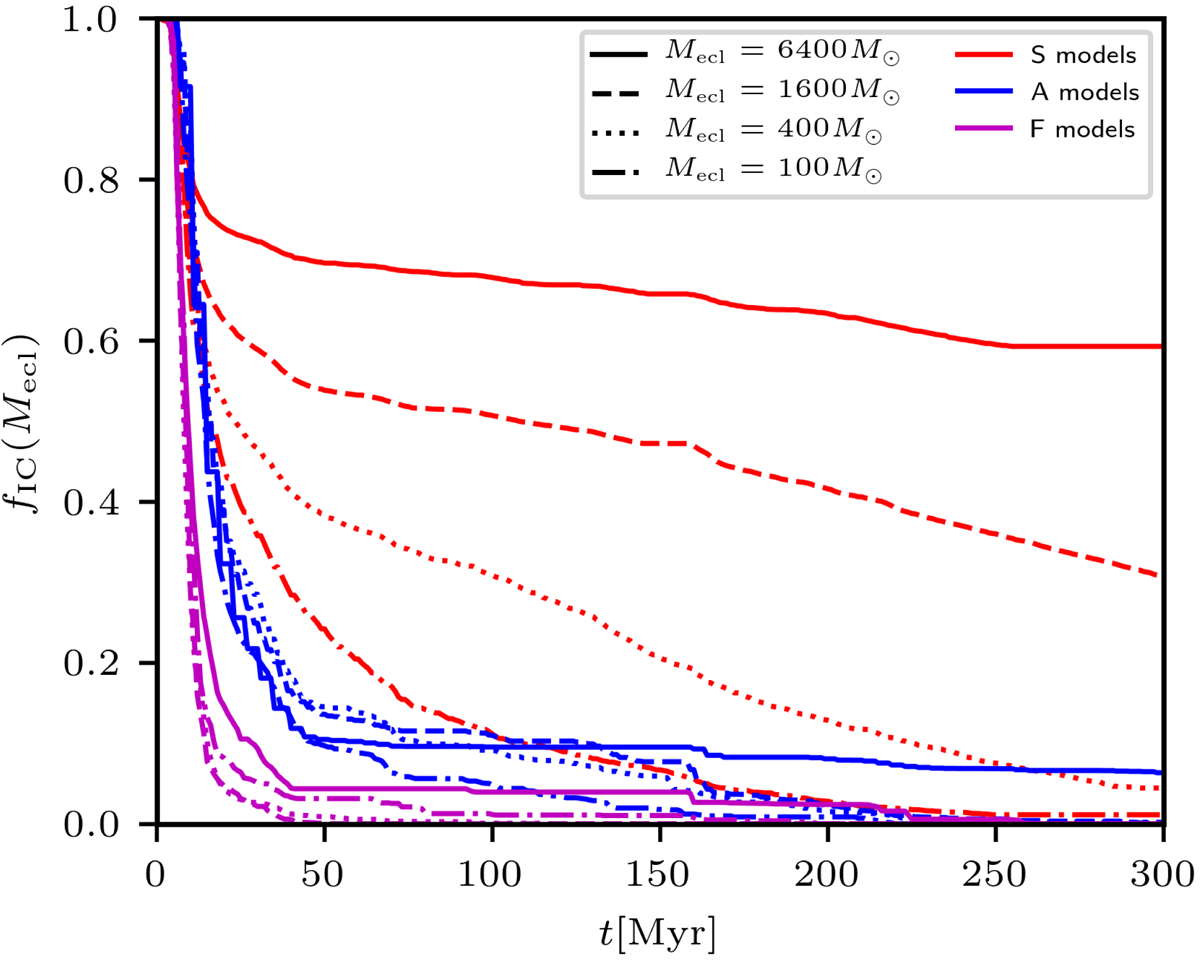
Fig. 6.

Download original image
Fraction of stars located in clusters of an initial mass Mecl for ‘A’ models (blue lines) and ‘F’ models (magenta lines). For comparison, standard models are shown by red lines. The ‘A’ and ‘F’ models result in substantially lower fraction of stars in clusters of all considered masses at t ≳ 20 Myr.
Current usage metrics show cumulative count of Article Views (full-text article views including HTML views, PDF and ePub downloads, according to the available data) and Abstracts Views on Vision4Press platform.
Data correspond to usage on the plateform after 2015. The current usage metrics is available 48-96 hours after online publication and is updated daily on week days.
Initial download of the metrics may take a while.