Fig. 7.

Download original image
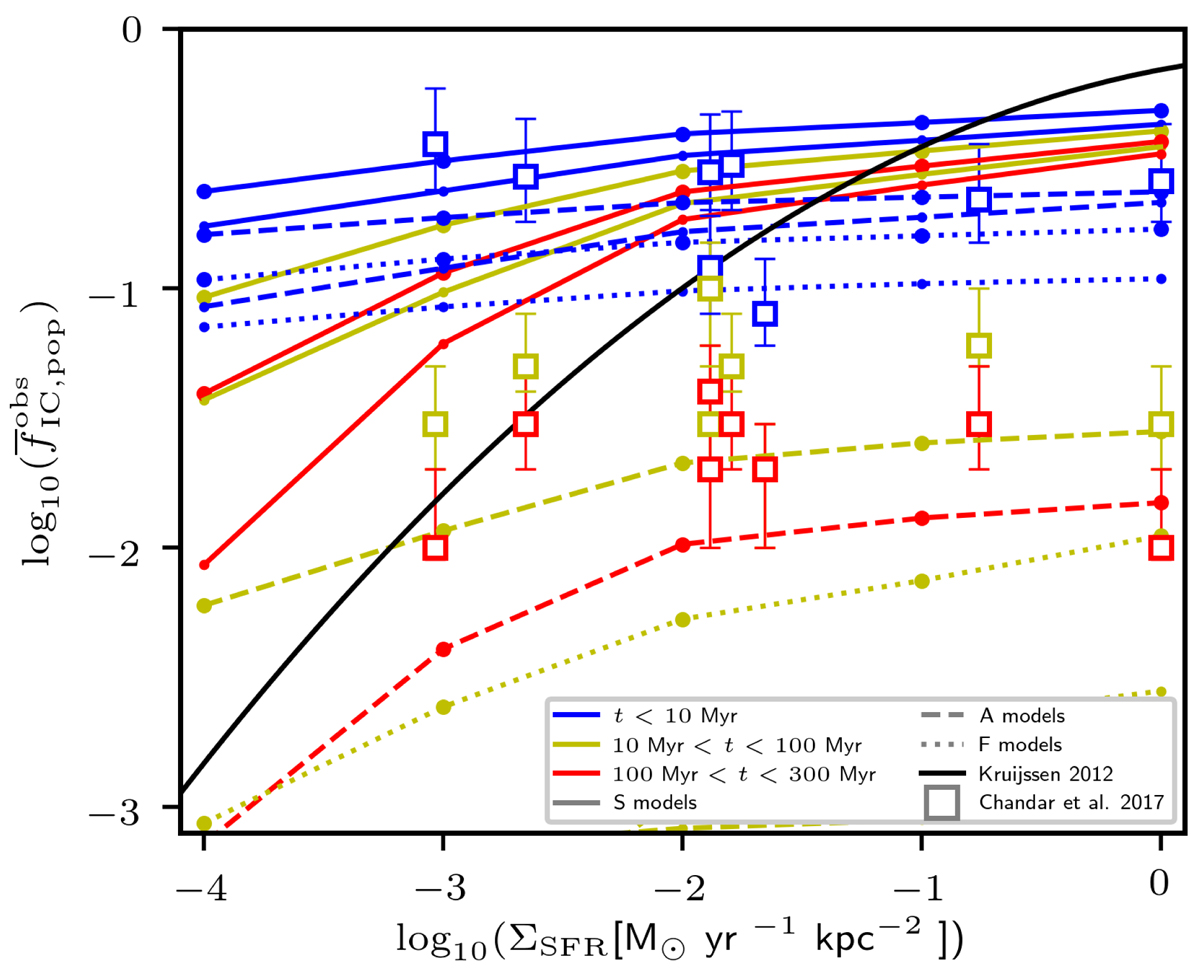
Fraction of stars which is likely to be observed in clusters of age t < 10 Myr (blue lines), 10 Myr < t < 100 Myr (yellow lines), and 100 Myr < t < 300 Myr (red lines) as a function of ΣSFR. The plot shows results for the ‘S’, ‘A’, and ‘F’ models for the ECMF of slope β = 2 by solid, dashed, and dotted lines, respectively. The lines are shown for rsearch = 2 pc (smaller dots) and rsearch = 5 pc (larger dots) for each model. The prediction of the Γ − ΣSFR model and the observational data from Chandar et al. (2017) are shown by the black line and by squares, respectively.
Current usage metrics show cumulative count of Article Views (full-text article views including HTML views, PDF and ePub downloads, according to the available data) and Abstracts Views on Vision4Press platform.
Data correspond to usage on the plateform after 2015. The current usage metrics is available 48-96 hours after online publication and is updated daily on week days.
Initial download of the metrics may take a while.