Fig. 8.

Download original image
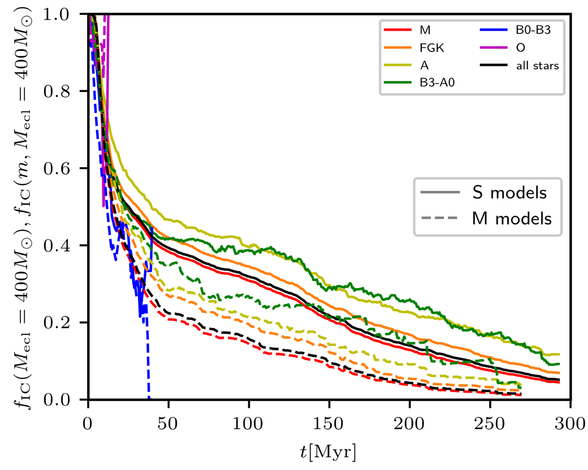
Time dependence of fIC(m) for clusters of mass 400 M⊙ starting with initial conditions for models ‘S’ (solid lines) and ‘M’ (dashed lines). The values of fIC(m) for different stellar spectral types is shown by line colours. The fraction of all stars in clusters fIC(Mecl = 400 M⊙) is shown by the black lines. The clusters orbit the galaxy at Rg = 8 kpc and they have metallicity of Z = 0.014.
Current usage metrics show cumulative count of Article Views (full-text article views including HTML views, PDF and ePub downloads, according to the available data) and Abstracts Views on Vision4Press platform.
Data correspond to usage on the plateform after 2015. The current usage metrics is available 48-96 hours after online publication and is updated daily on week days.
Initial download of the metrics may take a while.