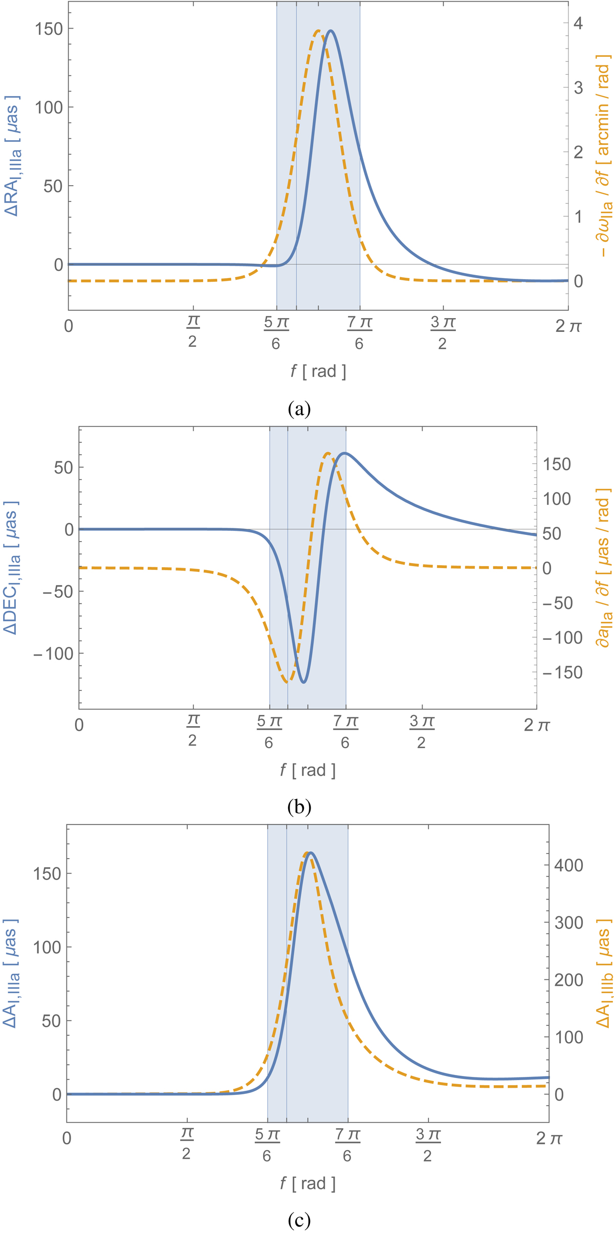
Fig. 7.

Download original image
Dark mass impact on astrometry. (a) ΔRAI, IIIa(f) = RAIIIa(f)−RAI(f) together with . (b) Same for Dec together with
. (c)
together with the analogous quantity for model (IIIb); note the different scales on the left and right vertical axes. Subscripts indicate the models to which the respective quantities correspond (Eqs. (I)–(IIIb)). The vertical line within the shaded blue region marks the true anomaly of model (I) in 2021.96, which is approximately the time of publication.
Current usage metrics show cumulative count of Article Views (full-text article views including HTML views, PDF and ePub downloads, according to the available data) and Abstracts Views on Vision4Press platform.
Data correspond to usage on the plateform after 2015. The current usage metrics is available 48-96 hours after online publication and is updated daily on week days.
Initial download of the metrics may take a while.