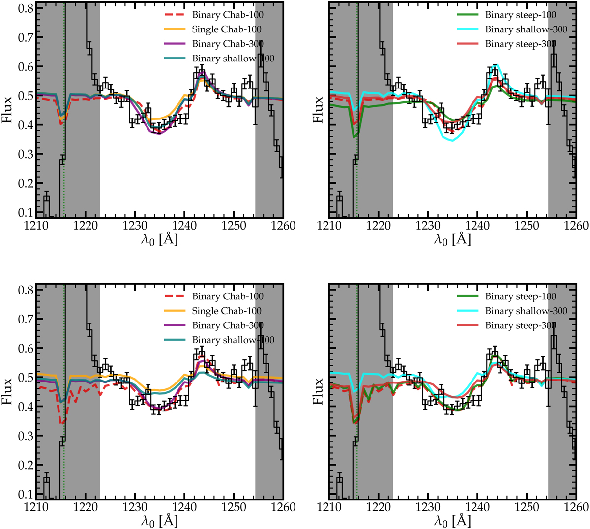
Fig. B.1.

Download original image
Zoom-in on the N V P Cygni feature, where coloured lines show best-fit model spectra for various IMF variations and a single-burst (top) and continuous star formation (bottom). Data are shown in black, and grey shaded regions mark the regions ignored in spectral fitting due to nebular or interstellar absorption or emission. For a single burst, models match the N V P Cygni comparably well. For a continuous star formation, the model without binary stars and models with shallower IMFs yield poorer matches to the N V profile.
Current usage metrics show cumulative count of Article Views (full-text article views including HTML views, PDF and ePub downloads, according to the available data) and Abstracts Views on Vision4Press platform.
Data correspond to usage on the plateform after 2015. The current usage metrics is available 48-96 hours after online publication and is updated daily on week days.
Initial download of the metrics may take a while.