Fig. 4.

Download original image
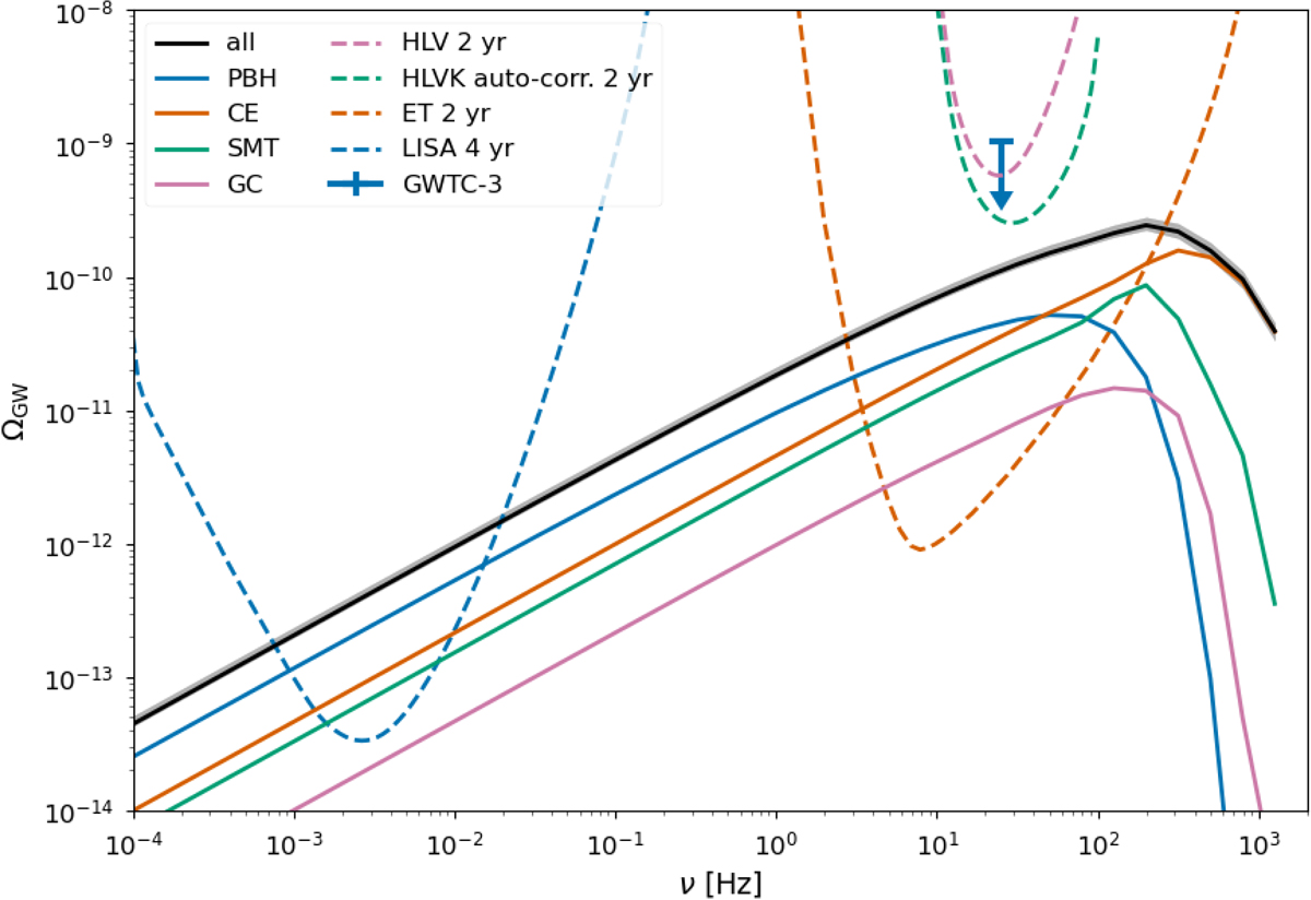
Stochastic gravitational-wave background energy density spectrum of merging astrophysical and primordial BBHs (solid lines). The fiducial model assumes combined BBH event rate normalized against the 44 confident BBH detections of GWTC-2 and branching ratios of each channel inferred by the model selection analysis of Franciolini et al. (2021). We show with individual lines the partial contribution of each channel: common envelope (orange), stable mass transfer (green), globular cluster (pink) and primordial black holes (blue). The total SGWB is indicated in black where the gray band indicates the Poisson error. The upper constraint to the SGWB from GWTC-3 is indicated with a blue bar marker and an arrow. For comparison, we indicate with dashed lines the PI sensitivity curves of different detectors for corresponding continuous observation time. The detector configurations include LIGO-Virgo at design sensitivity (HLV), the same configuration including KAGRA with auto-correlations (HLVK auto-corr.), Einstein Telescope (ET) and the Laser Interferometer Space Array (LISA).
Current usage metrics show cumulative count of Article Views (full-text article views including HTML views, PDF and ePub downloads, according to the available data) and Abstracts Views on Vision4Press platform.
Data correspond to usage on the plateform after 2015. The current usage metrics is available 48-96 hours after online publication and is updated daily on week days.
Initial download of the metrics may take a while.