Free Access
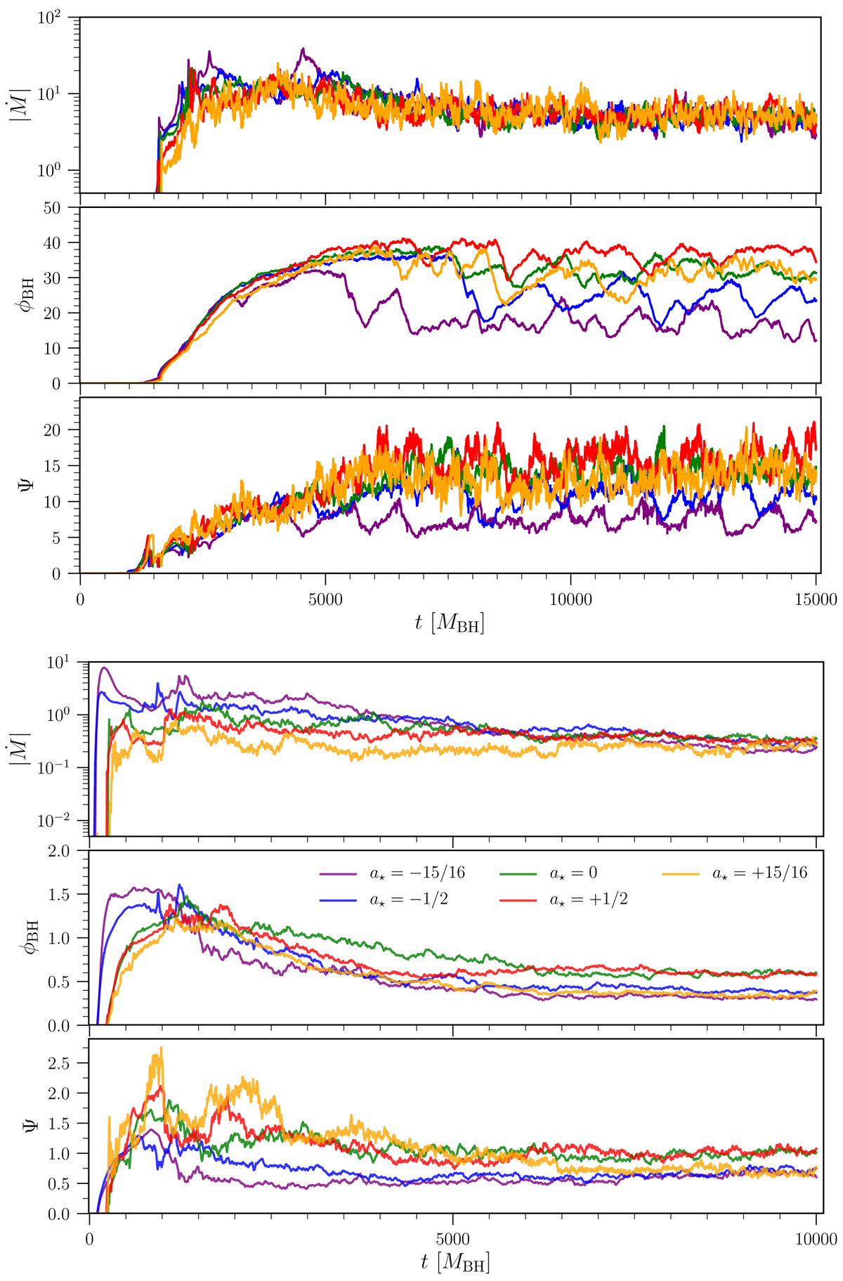
Fig. 1.

Download original image
Mass accretion rates Ṁ, magnetic flux ϕ, and MAD flux parameter Ψ in code units for black holes with different dimensionless spins. The first three panels correspond to the MAD state and the bottom three panels to the SANE simulations. The scales for the MAD and SANE models are different.
Current usage metrics show cumulative count of Article Views (full-text article views including HTML views, PDF and ePub downloads, according to the available data) and Abstracts Views on Vision4Press platform.
Data correspond to usage on the plateform after 2015. The current usage metrics is available 48-96 hours after online publication and is updated daily on week days.
Initial download of the metrics may take a while.