Fig. C.1.

Download original image
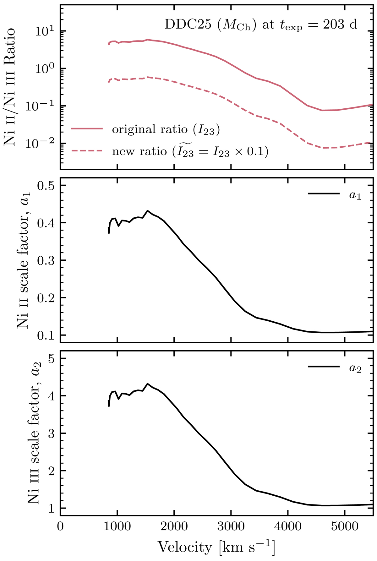
Illustration of the procedure used to modify the Ni II/Ni III ratio in CMFGEN. In this example we wish to scale the Ni II/Ni III ratio of the MCh model DDC25 at 203 d past explosion by ℛ23 = 0.1. The upper panel shows the original and scaled Ni II/Ni III ratios (Eq. C.2). The middle and bottom panels show the scaling coefficients (a1, a2) applied to the population densities of Ni II and Ni III, respectively (Eqs. C.8 and C.7). We note that a1/a2 = ℛ23 = 0.1 at all depths by definition (Eq. C.5). When the original Ni II/Ni III ratio becomes small enough (≲10−1 beyond ∼4000 km s−1), a1 ≈ 0.1 ( = ℛ23) and a2 ≈ 1, as expected (see text for details).
Current usage metrics show cumulative count of Article Views (full-text article views including HTML views, PDF and ePub downloads, according to the available data) and Abstracts Views on Vision4Press platform.
Data correspond to usage on the plateform after 2015. The current usage metrics is available 48-96 hours after online publication and is updated daily on week days.
Initial download of the metrics may take a while.