Fig. 3.

Download original image
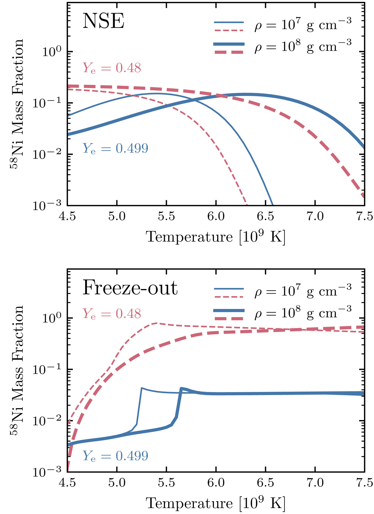
Top panel: NSE distributions for 58Ni as a function of temperature (in units of 109 K) for Ye = 0.48 (dashed lines) and Ye = 0.499 (solid lines), at densities of 107 g cm−3 (thin lines) and 108 g cm−3 (thick lines). These NSE distributions were computed with the public_nse code (Publicly available on F. X. Timmes’ webpage; http://cococubed.asu.edu/code_pages/nse.shtml) (see also Seitenzahl et al. 2008). Bottom panel: freeze-out yields based on the adiabatic thermodynamic trajectories of Magkotsios et al. (2010) for the same set of (ρpeak, Ye) values.
Current usage metrics show cumulative count of Article Views (full-text article views including HTML views, PDF and ePub downloads, according to the available data) and Abstracts Views on Vision4Press platform.
Data correspond to usage on the plateform after 2015. The current usage metrics is available 48-96 hours after online publication and is updated daily on week days.
Initial download of the metrics may take a while.