Fig. 8.

Download original image
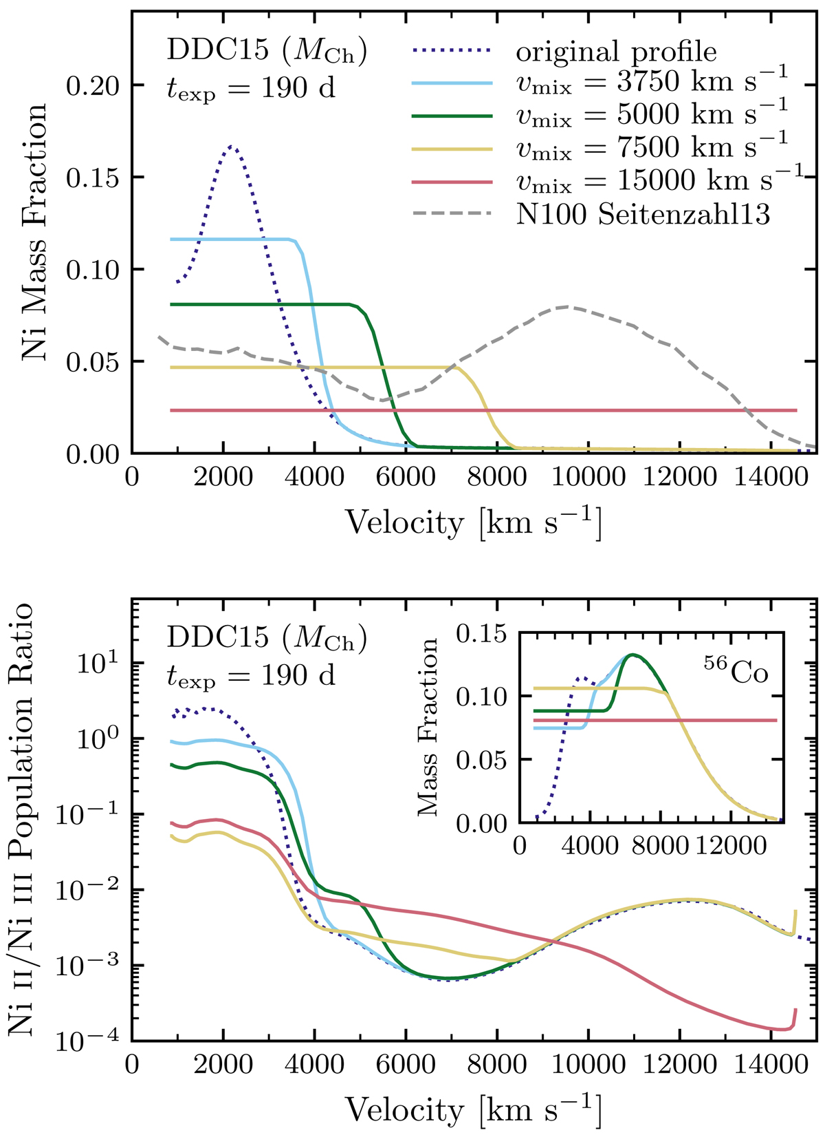
Impact of uniformly mixing the composition within a cutoff velocity vmix = 3750, 5000, 7500, and 15 000 km s−1 on the Ni abundance profile (top) and Ni II/Ni III population ratio (bottom), illustrated using the MCh delayed-detonation model DDC15 of Blondin et al. (2015) at 190 d past explosion. The stable Ni mass for this model is ∼0.03 M⊙ (see Table A.1). We show the angle-averaged Ni abundance profile of the 3D delayed-detonation model N100 of Seitenzahl et al. (2013) for comparison (grey dashed line, top panel). The inset in the lower panel shows the 56Co abundance profiles, whose decay heating by positrons and γ-rays largely determines the ionization state at this time.
Current usage metrics show cumulative count of Article Views (full-text article views including HTML views, PDF and ePub downloads, according to the available data) and Abstracts Views on Vision4Press platform.
Data correspond to usage on the plateform after 2015. The current usage metrics is available 48-96 hours after online publication and is updated daily on week days.
Initial download of the metrics may take a while.