Fig. 4.

Download original image
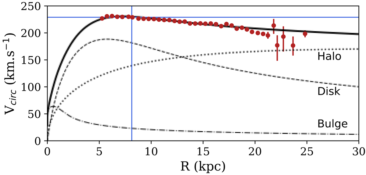
Rotation curve of the Milky Way model used in this work (thick line) together with the measured rotation curve of our Galaxy by Eilers et al. (2019) (red dots). The thin blue lines show the rotation velocity at the solar radius (229 km s−1 at 8.129 kpc).
Current usage metrics show cumulative count of Article Views (full-text article views including HTML views, PDF and ePub downloads, according to the available data) and Abstracts Views on Vision4Press platform.
Data correspond to usage on the plateform after 2015. The current usage metrics is available 48-96 hours after online publication and is updated daily on week days.
Initial download of the metrics may take a while.