Fig. 10.

Download original image
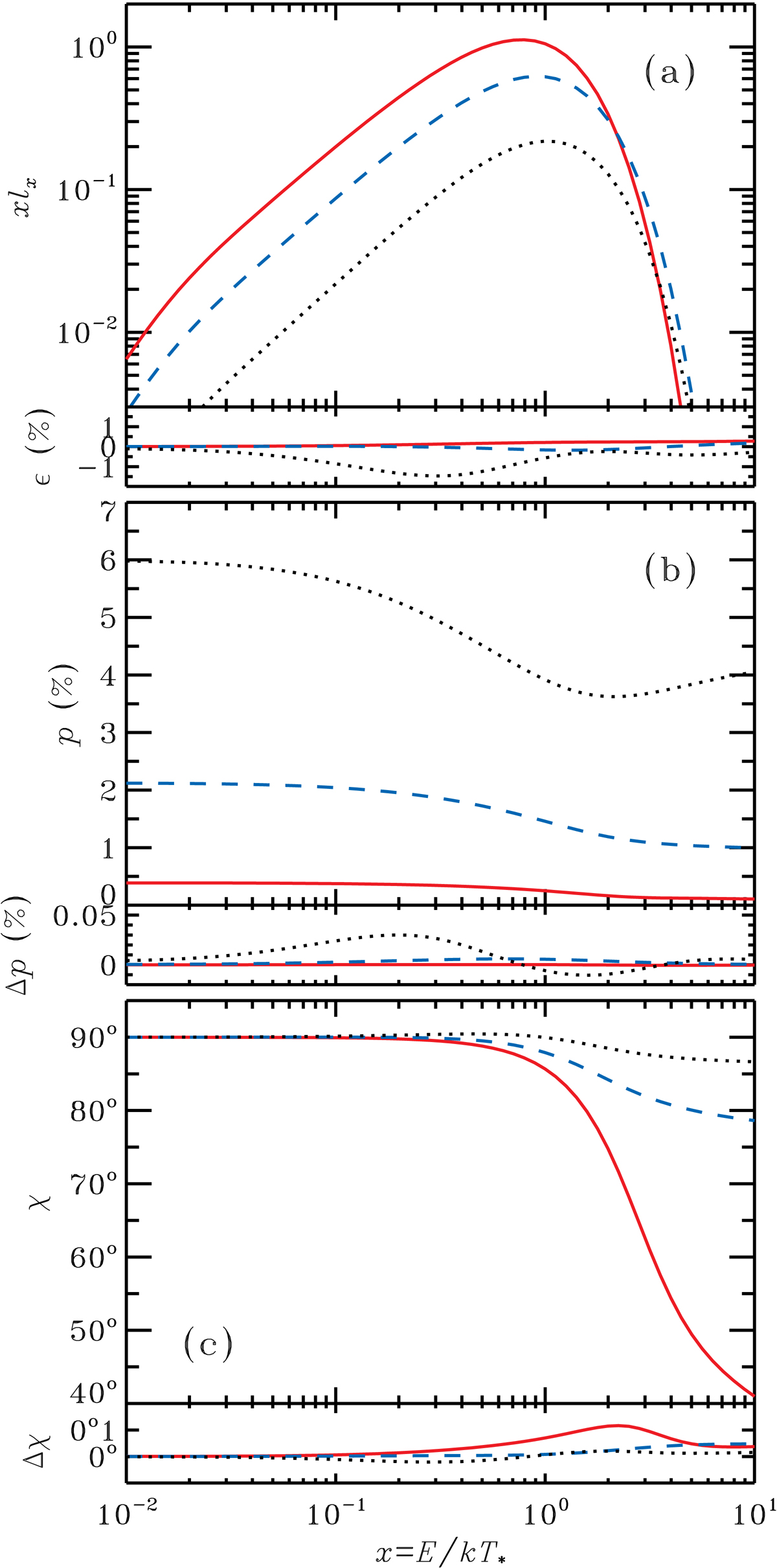
Polarized spectrum of a standard accretion disk (3 < r < 3000) viewed at different inclinations: i = 30° (red solid line), 60° (blue dashed), 80° (black dotted) as a function of dimensionless photon energy x = E/kT*. Panel a: normalized luminosity x lx. Panel b: polarization degree. Panel c: polarization angle. The lower subpanels show the errors in the corresponding quantities when computations are done with approximate expressions Eqs. (35) and (36) for the bending angle and lensing factor. We note that the error on x lx is relative, while the errors on PA and PD are absolute.
Current usage metrics show cumulative count of Article Views (full-text article views including HTML views, PDF and ePub downloads, according to the available data) and Abstracts Views on Vision4Press platform.
Data correspond to usage on the plateform after 2015. The current usage metrics is available 48-96 hours after online publication and is updated daily on week days.
Initial download of the metrics may take a while.