Fig. 3.

Download original image
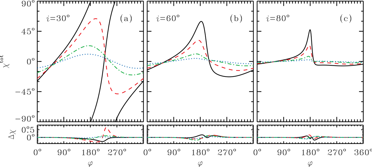
Upper panels: PA χtot as a function of azimuth for disk inclinations i = 30° (a), 60° (b) and 80° (c) and different r = 3 (black solid line), 5 (red dashed), 15 (green dot-dashed) and 50 (blue dotted). Lower panels: difference in the PA rotation computed using analytical formula (35) for light bending and via the exact calculations.
Current usage metrics show cumulative count of Article Views (full-text article views including HTML views, PDF and ePub downloads, according to the available data) and Abstracts Views on Vision4Press platform.
Data correspond to usage on the plateform after 2015. The current usage metrics is available 48-96 hours after online publication and is updated daily on week days.
Initial download of the metrics may take a while.