Fig. 7.

Download original image
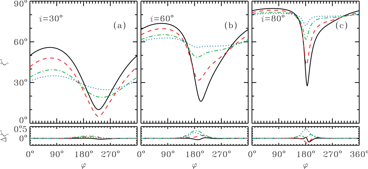
Upper panels: zenith angle ζ′ the photon reaching the observer makes to the local normal in the fluid frame as a function of the azimuth for disk inclinations i = 30° (panel a), 60° (b), and 80° (c) and different emission radii r = 3 (black solid line), 5 (red dashed), 15 (green dot-dashed), and 50 (blue dotted). Lower panels: difference between ζ′ computed using the analytical formula (35) for light bending and the one using exact formula.
Current usage metrics show cumulative count of Article Views (full-text article views including HTML views, PDF and ePub downloads, according to the available data) and Abstracts Views on Vision4Press platform.
Data correspond to usage on the plateform after 2015. The current usage metrics is available 48-96 hours after online publication and is updated daily on week days.
Initial download of the metrics may take a while.