Fig. 8.

Download original image
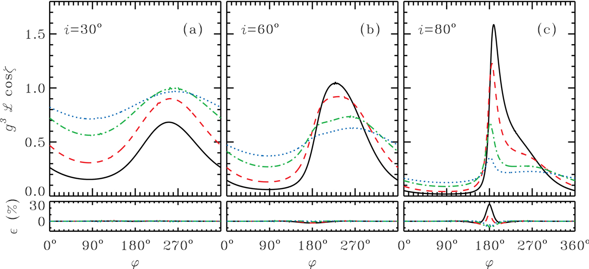
Upper panels: combination g3ℒ cos ζ which is proportional to the observed flux from a disk surface element as a function of the azimuth for inclinations i = 30° (a), 60° (b), and 80° (c) and different emission radii r = 3 (black solid line), 5 (red dashed), 15 (green dot-dashed), and 50 (blue dotted). Lower panels: relative error (in %) on that combination computed using analytical formulae (35) and (36) for the light bending angle and lensing factor as compared to the exact calculations.
Current usage metrics show cumulative count of Article Views (full-text article views including HTML views, PDF and ePub downloads, according to the available data) and Abstracts Views on Vision4Press platform.
Data correspond to usage on the plateform after 2015. The current usage metrics is available 48-96 hours after online publication and is updated daily on week days.
Initial download of the metrics may take a while.