Free Access
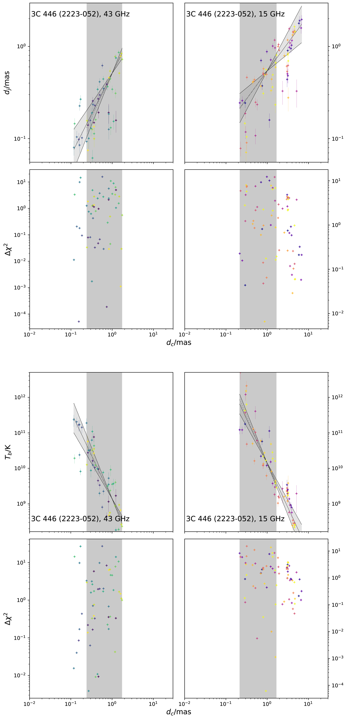
Fig. A.26.

Download original image
2223-052 jet diameter dj as a function of the distance from the core dc and the brightness temperature TB as function of dc. The color coding for both frequencies indicates the epoch, where lighter colors indicate more recent epochs.
Current usage metrics show cumulative count of Article Views (full-text article views including HTML views, PDF and ePub downloads, according to the available data) and Abstracts Views on Vision4Press platform.
Data correspond to usage on the plateform after 2015. The current usage metrics is available 48-96 hours after online publication and is updated daily on week days.
Initial download of the metrics may take a while.