Fig. B.1.

Download original image
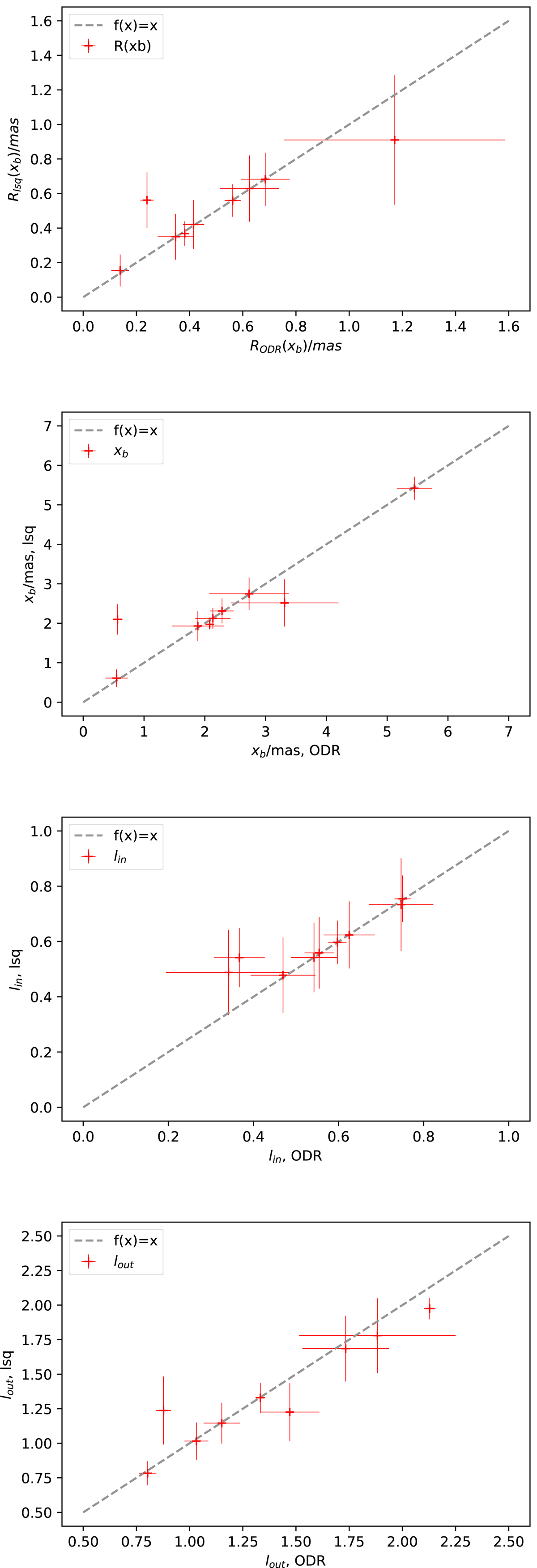
Comparison of the orthogonal distance regression and the least square fitting method. Overall the fitting results for the different parameters are in agreement within the 1-σ error bars. Top left: Jet radius at the break point; Top right: break point; Bottom left: inner diameter gradient; Bottom right: outer diameter gradient.
Current usage metrics show cumulative count of Article Views (full-text article views including HTML views, PDF and ePub downloads, according to the available data) and Abstracts Views on Vision4Press platform.
Data correspond to usage on the plateform after 2015. The current usage metrics is available 48-96 hours after online publication and is updated daily on week days.
Initial download of the metrics may take a while.