Open Access
Fig. 12

Download original image
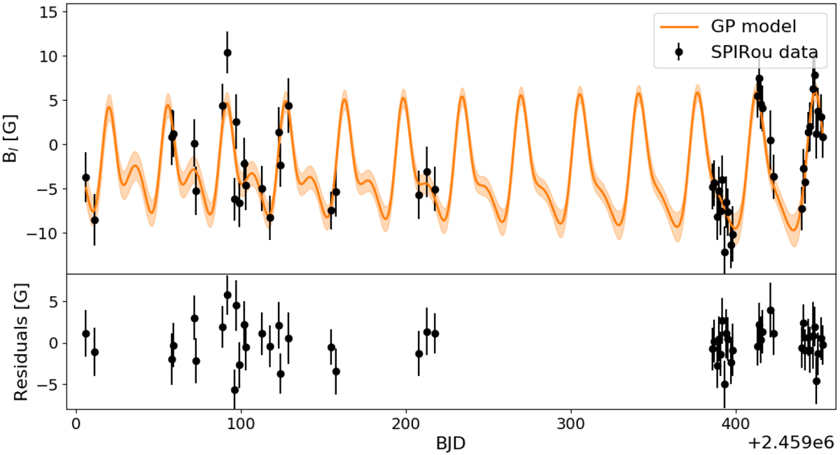
GP analysis of the SPIRou Bℓ data. In the top panel, the black points show the observed Bℓ data and the orange line shows the best-fit QP GP model. The bottom panel shows the residuals with an RMS dispersion of 2.3 G.
Current usage metrics show cumulative count of Article Views (full-text article views including HTML views, PDF and ePub downloads, according to the available data) and Abstracts Views on Vision4Press platform.
Data correspond to usage on the plateform after 2015. The current usage metrics is available 48-96 hours after online publication and is updated daily on week days.
Initial download of the metrics may take a while.