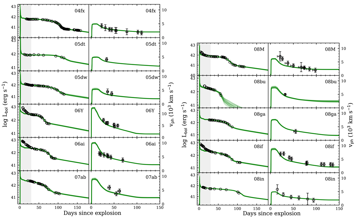
Fig. C.2.

Download original image
Comparison between models and observations. The open circles show the observed bolometric LCs and Fe II velocities. Solid lines represent 30 models randomly chosen from the probability distribution. We used the models with incremented mass loss. The panels present SNe in order of their discovery dates. Grey shaded regions show the early data we removed from the fitting. The errors in the observed bolometric LCs are not plotted for better visualisation.
Current usage metrics show cumulative count of Article Views (full-text article views including HTML views, PDF and ePub downloads, according to the available data) and Abstracts Views on Vision4Press platform.
Data correspond to usage on the plateform after 2015. The current usage metrics is available 48-96 hours after online publication and is updated daily on week days.
Initial download of the metrics may take a while.