Fig. 1.

Download original image
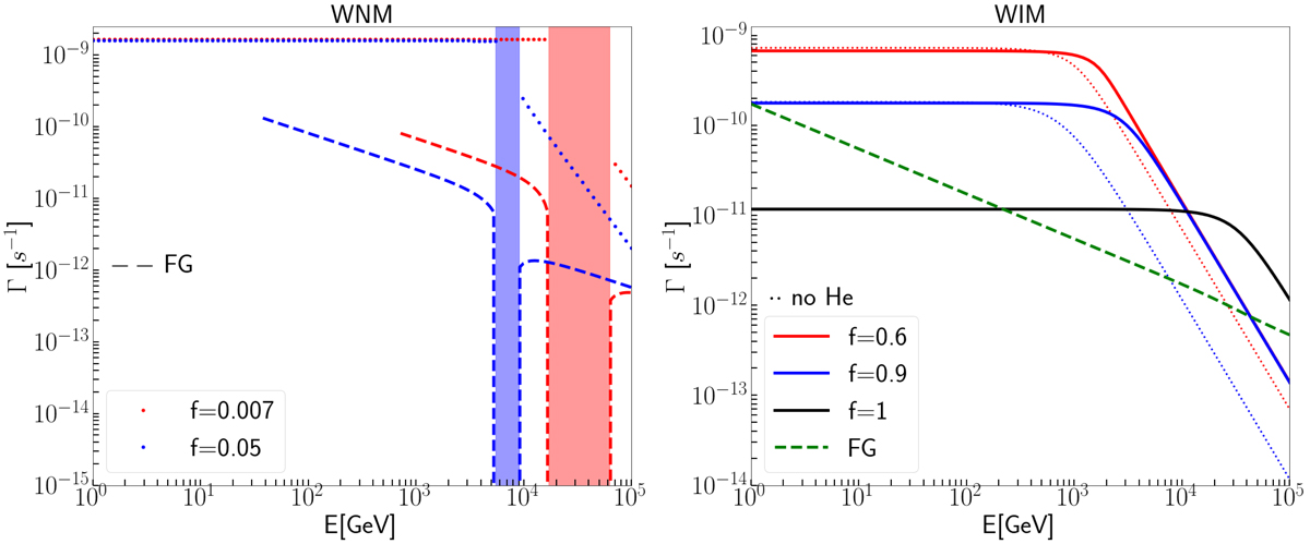
Damping rates and
(ion-neutral and turbulent) of Alfvén waves in the WNM (left-hand panel) and WIM (right-hand panel) vs. CR energy E. Different colors are used for different values of the hydrogen ionization fraction f. Unless stated otherwise, a standard χ = 0.1 He abundance is assumed. The considered parameters for the WNM and WIM are given in Table 1. Left-hand panel: the dotted lines refers to ion-neutral damping, and the dashed lines show the FG damping. The FG damping is truncated to the minimum energy, Emin, below which the background turbulence is damped by ion-neutral friction before the scale relevant for the damping of self-generated waves is reached that are resonant with a particle of energy < Emin (see Sect. 2.2). The shaded regions represent the range in which Alfvén waves do not propagate (see Sect. 2.1). Right-hand panel: the solid lines refer to ion-neutral damping, and the thin dotted lines show the case without a contribution to damping from He (χ = 0). The dashed lines show FG damping, which in the case of WIM is found to depend little on the ionization fraction f.
Current usage metrics show cumulative count of Article Views (full-text article views including HTML views, PDF and ePub downloads, according to the available data) and Abstracts Views on Vision4Press platform.
Data correspond to usage on the plateform after 2015. The current usage metrics is available 48-96 hours after online publication and is updated daily on week days.
Initial download of the metrics may take a while.