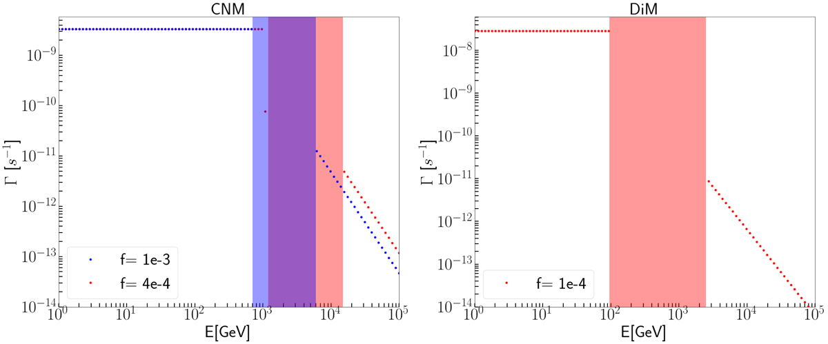
Fig. 2.

Download original image
Ion-neutral damping rate of Alfvén waves in the CNM (left-hand panel) and DiM (right-hand panel) as a function of CR energy E. Different colors are used for different values of the C+ abundance. The parameters adopted for the CNM and DiM are given in Table 1. The shaded regions represent the range without propagating Alfvén waves (see Sect. 2.1).
Current usage metrics show cumulative count of Article Views (full-text article views including HTML views, PDF and ePub downloads, according to the available data) and Abstracts Views on Vision4Press platform.
Data correspond to usage on the plateform after 2015. The current usage metrics is available 48-96 hours after online publication and is updated daily on week days.
Initial download of the metrics may take a while.