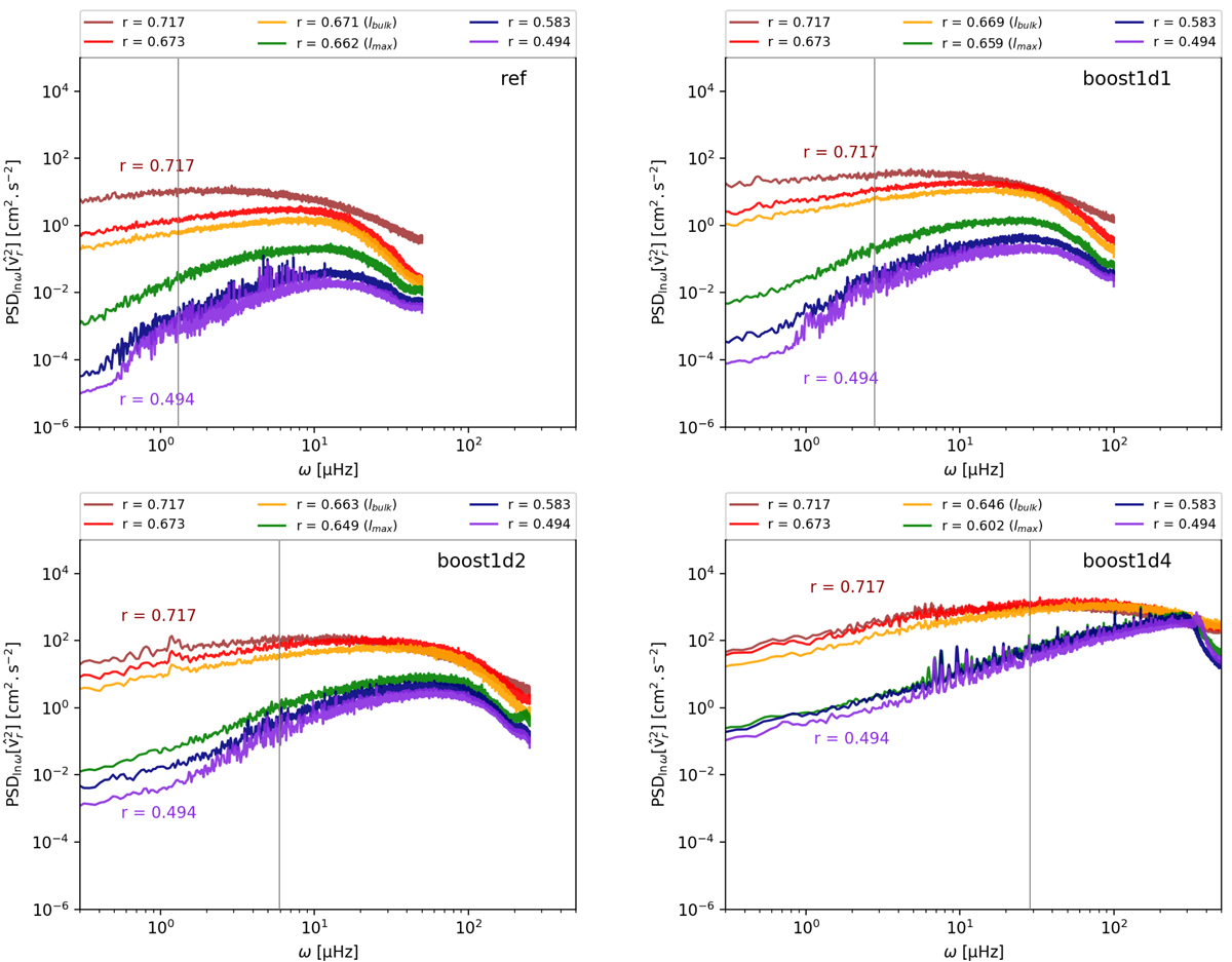
Fig. 7.

Download original image
PSD of the radial velocity as a function of frequency for the four simulations ref (top left), boost1d1 (top right), boost1d2 (bottom left), and boost1d4 (bottom right) at different depths. The vertical grey line indicates the convective frequency for each simulation. The spectra are obtained via mode projection on the spherical harmonics basis and a temporal Fourier transform of the radial velocity.
Current usage metrics show cumulative count of Article Views (full-text article views including HTML views, PDF and ePub downloads, according to the available data) and Abstracts Views on Vision4Press platform.
Data correspond to usage on the plateform after 2015. The current usage metrics is available 48-96 hours after online publication and is updated daily on week days.
Initial download of the metrics may take a while.