Fig. A.2

Download original image
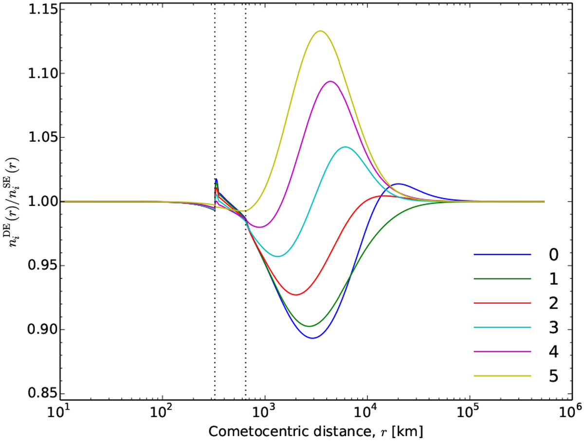
HCN level (J = 0 to 5) population variation as a function of cometocentric radius, for the time-dependent modelling (see Fig. A.1) adopting the parameters for fragment B of 73P/Schwassmann-Wachmann during its 2006 passage. The level populations have been normalised to their SE-values to visualise time-dependent effects. The vertical dotted lines correspond to radii RCS and 2RCS between which the electron temperature increases from 90 K to 104 K.
Current usage metrics show cumulative count of Article Views (full-text article views including HTML views, PDF and ePub downloads, according to the available data) and Abstracts Views on Vision4Press platform.
Data correspond to usage on the plateform after 2015. The current usage metrics is available 48-96 hours after online publication and is updated daily on week days.
Initial download of the metrics may take a while.