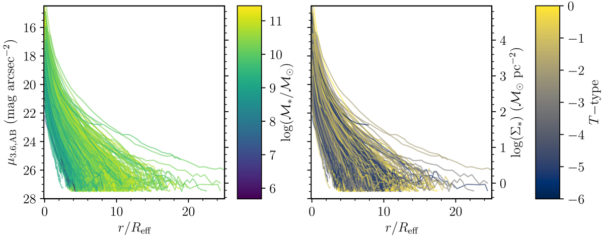
Fig. 13.

Download original image
All ETG 3.6 μm surface brightness profiles (fixed isophotal parameters, Δr = 2″; see Sect. 3.2), normalized by effective radius. Left panel: profiles color-coded by total stellar mass, while the right panel shows profiles color-coded by morphological T-type. Surface brightness is converted to mass surface density in the right panel as well, for convenience. Data quality at very low surface brightness is poor, and hence all profiles are truncated at μ3.6, AB = 27.5.
Current usage metrics show cumulative count of Article Views (full-text article views including HTML views, PDF and ePub downloads, according to the available data) and Abstracts Views on Vision4Press platform.
Data correspond to usage on the plateform after 2015. The current usage metrics is available 48-96 hours after online publication and is updated daily on week days.
Initial download of the metrics may take a while.