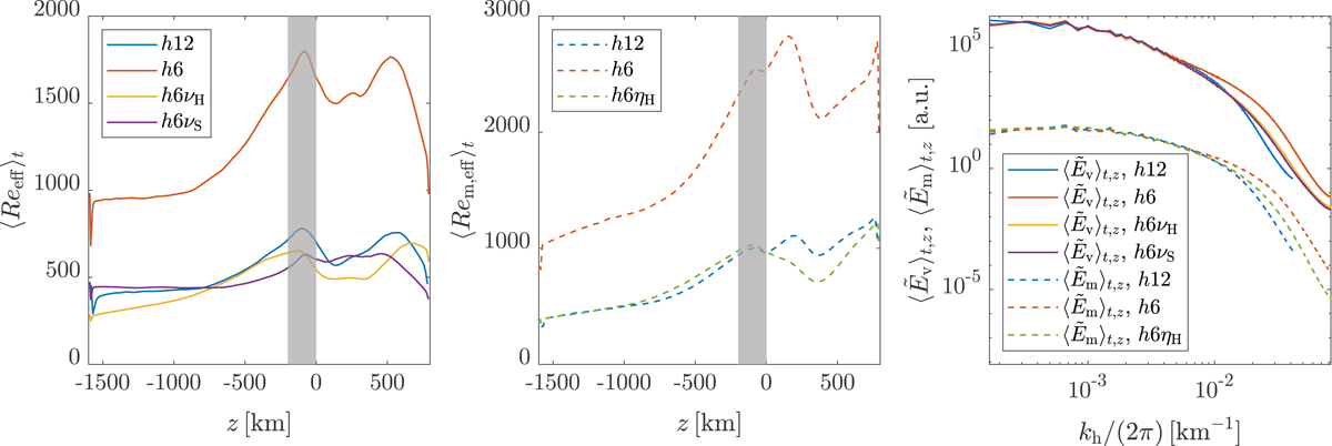
Fig. 3.

Download original image
Reynolds and magnetic Reynolds numbers as a function of height and kinetic and magnetic energy spectra. Left: time-averaged profiles of Reeff(t, z) as function of geometrical height z for the simulations h12, h6, h6νH, and h6νS. Centre: time-averaged profiles of Rem, eff(t, z) for the simulations h12, h6, and h6ηH. Right: Spectra of (solid lines) and
(dashed lines) averaged over time and in space between z = −200 km and z = 0 km as a function of horizontal wave number kh. The spectra of
are multiplied by 104 for clarity. The shaded grey areas of the left and centre panels denote the region between z = −200 km and z = 0 km, used for the spatial average of the energy spectra.
Current usage metrics show cumulative count of Article Views (full-text article views including HTML views, PDF and ePub downloads, according to the available data) and Abstracts Views on Vision4Press platform.
Data correspond to usage on the plateform after 2015. The current usage metrics is available 48-96 hours after online publication and is updated daily on week days.
Initial download of the metrics may take a while.