Open Access
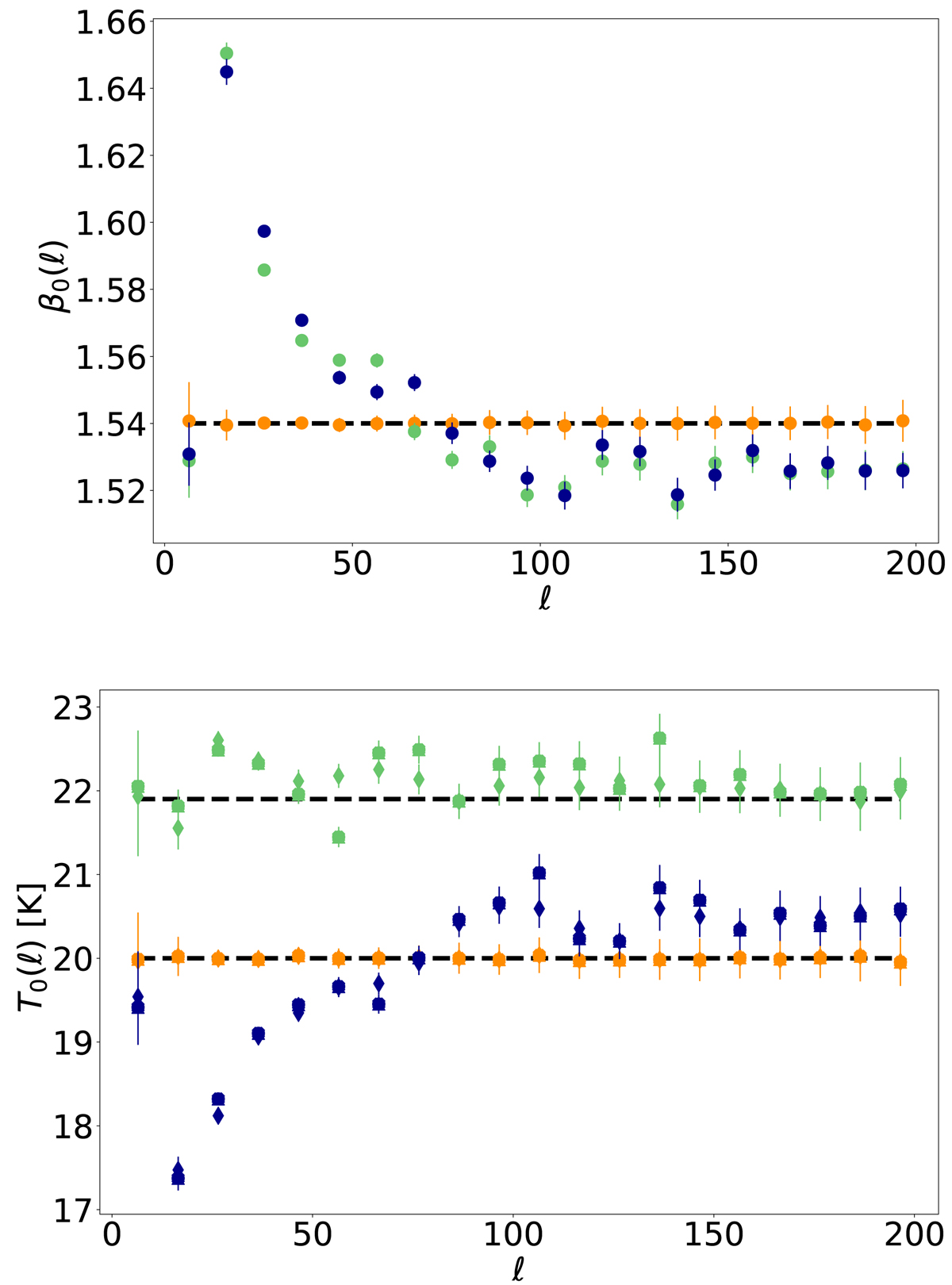
Fig. 4.

Download original image
Top: median of the best fit values of β0(ℓ) in d0 (orange), d1T (green), and d1 (blue) for the MBB (circles). βdo is marked by the dashed black line. Bottom: same as above but with T0(ℓ), the black dashed-lines being Td0 = 20 K and Td1T = 21.9 K.
Current usage metrics show cumulative count of Article Views (full-text article views including HTML views, PDF and ePub downloads, according to the available data) and Abstracts Views on Vision4Press platform.
Data correspond to usage on the plateform after 2015. The current usage metrics is available 48-96 hours after online publication and is updated daily on week days.
Initial download of the metrics may take a while.