Free Access
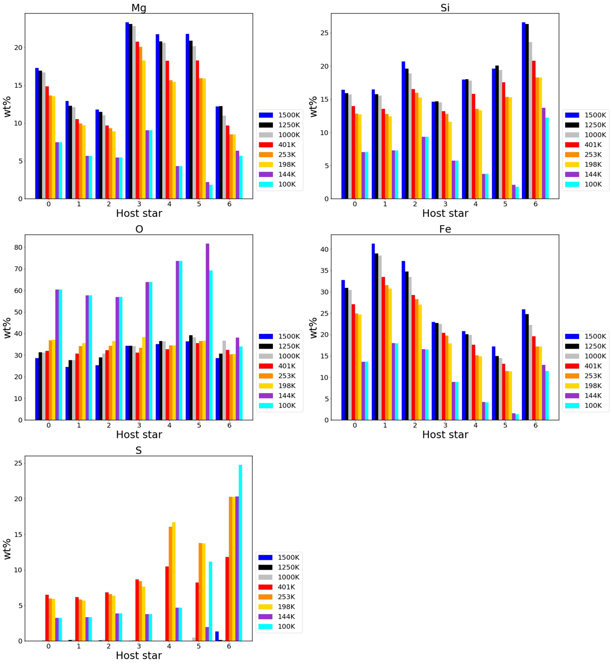
Fig. 6

Download original image
Mass fraction of the hypothetical planets forming in situ. Values are given as a percentage of the total mass of the body. The missing mass fraction necessary to add up to 100% is contained in the chemical elements not discussed here. The x-axis labelled from 0 to 6 indicates the host star where the planets formed.
Current usage metrics show cumulative count of Article Views (full-text article views including HTML views, PDF and ePub downloads, according to the available data) and Abstracts Views on Vision4Press platform.
Data correspond to usage on the plateform after 2015. The current usage metrics is available 48-96 hours after online publication and is updated daily on week days.
Initial download of the metrics may take a while.