Free Access
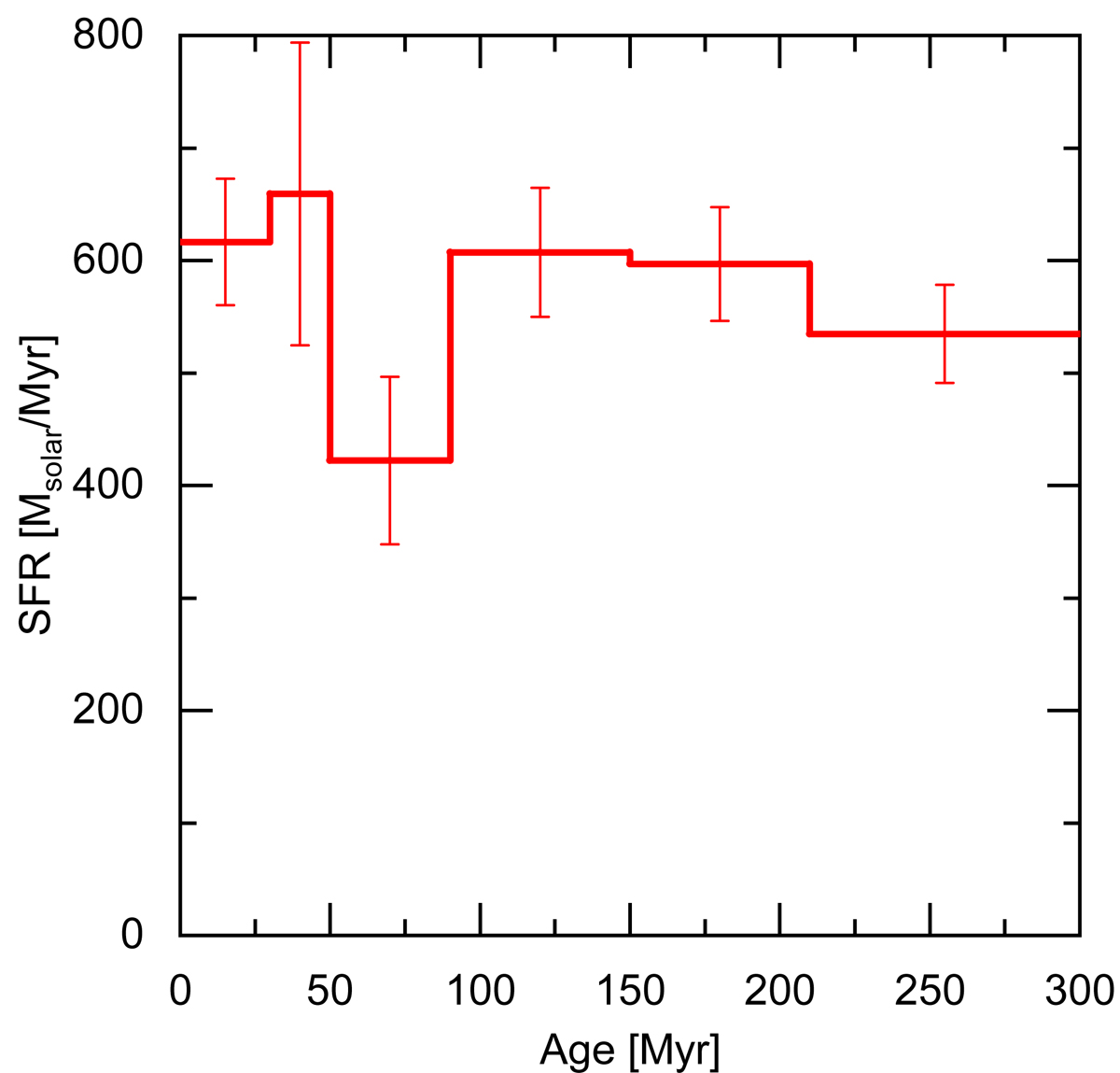
Fig. 5.

Download original image
A recent star formation history of the Leo A galaxy based on the BHeB stars. The SFR for the youngest ages (< 30 Myr) was derived based on the bright (F814W < 22.5) main sequence stars.
Current usage metrics show cumulative count of Article Views (full-text article views including HTML views, PDF and ePub downloads, according to the available data) and Abstracts Views on Vision4Press platform.
Data correspond to usage on the plateform after 2015. The current usage metrics is available 48-96 hours after online publication and is updated daily on week days.
Initial download of the metrics may take a while.