Fig. 2

Download original image
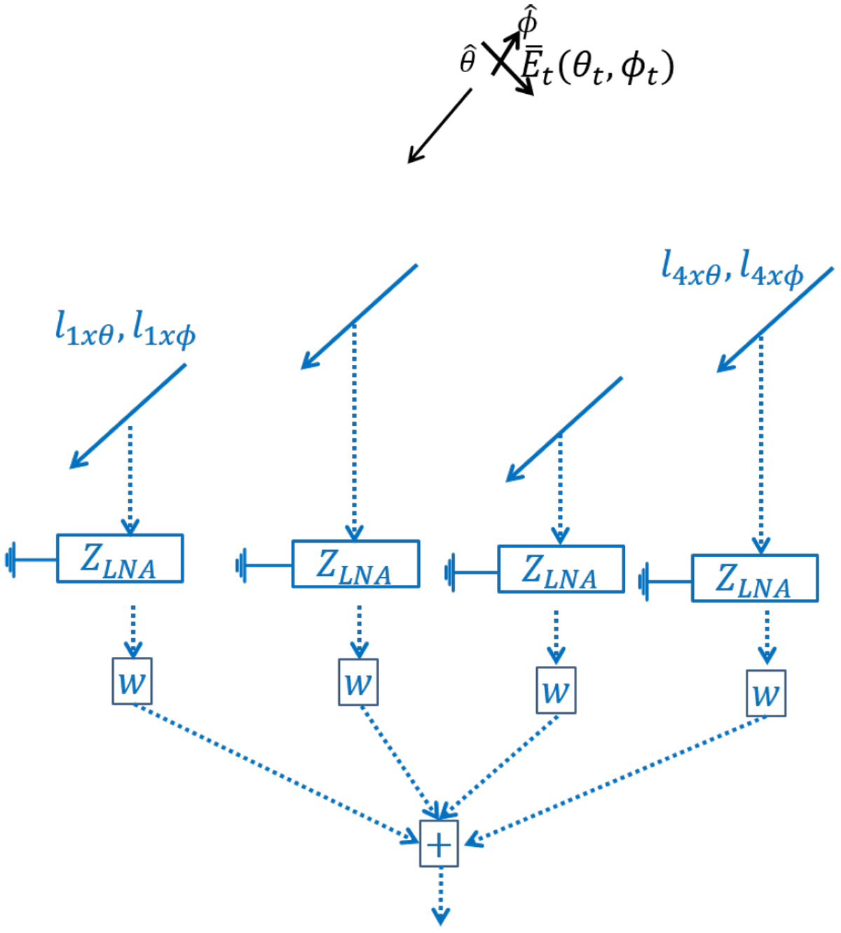
Antenna length calculation for an array, where l1xθ is the antenna length associated with polarized incident field for x-directed antenna in the embedded element number 1 in the array shown, similarly to lixθ, liyθ, where i is the embedded element number. For brevity we consider a four-element array i = 1, ⋯, 4; the extension to i = 1, ⋯, N presents no complication.
Current usage metrics show cumulative count of Article Views (full-text article views including HTML views, PDF and ePub downloads, according to the available data) and Abstracts Views on Vision4Press platform.
Data correspond to usage on the plateform after 2015. The current usage metrics is available 48-96 hours after online publication and is updated daily on week days.
Initial download of the metrics may take a while.