Fig. 6.

Download original image
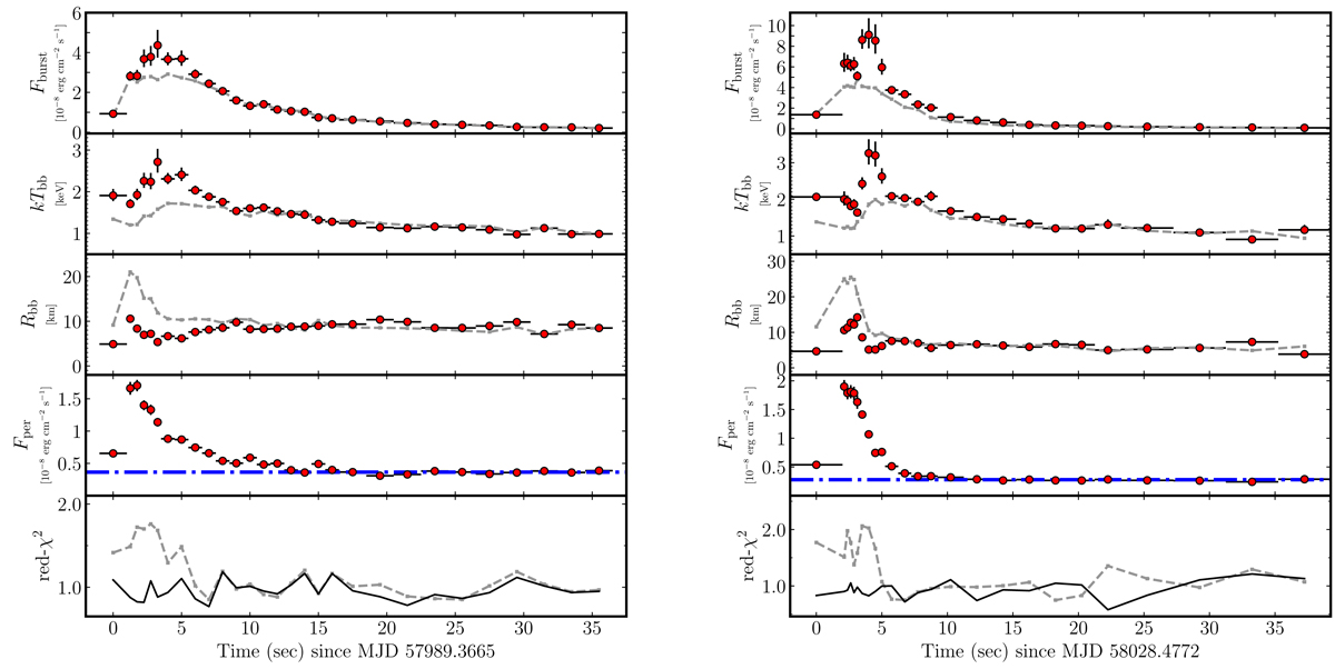
Best-fit values from the fa model, TBabs × (bbodyrad + fa × nthcomp), and 1σ uncertainties of two X-ray burst spectra. From top to bottom: burst flux, Fburst, the blackbody temperature, kTbb, and radius, Rbb, the enhanced persistent emission flux, Fper, and the goodness of fit per degree of freedom, , for bursts #4 (left panel) and #5 (right panel). The blue dashed-dot lines represent the flux of the persistent emissions before the bursts. The grey data are fitted by the blackbody model for comparisons.
Current usage metrics show cumulative count of Article Views (full-text article views including HTML views, PDF and ePub downloads, according to the available data) and Abstracts Views on Vision4Press platform.
Data correspond to usage on the plateform after 2015. The current usage metrics is available 48-96 hours after online publication and is updated daily on week days.
Initial download of the metrics may take a while.