Free Access

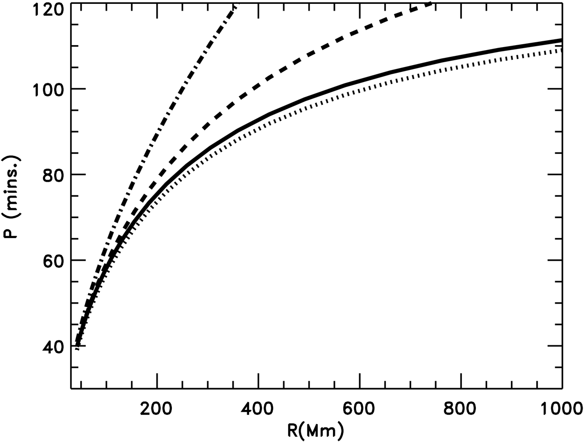
Fig. 5.

image

Download original image

Period of fundamental-mode period found by solving Eq. (4) for Model 1 (solid line). The dotted line is the approximation given by Eq. (21), the dashed line shows the corrected pendulum period from Eq. (17), and the dot-dashed line is the uncorrected pendulum-model period P0.

Current usage metrics show cumulative count of Article Views (full-text article views including HTML views, PDF and ePub downloads, according to the available data) and Abstracts Views on Vision4Press platform.

Data correspond to usage on the plateform after 2015. The current usage metrics is available 48-96 hours after online publication and is updated daily on week days.

Initial download of the metrics may take a while.