Fig. 3.

Download original image
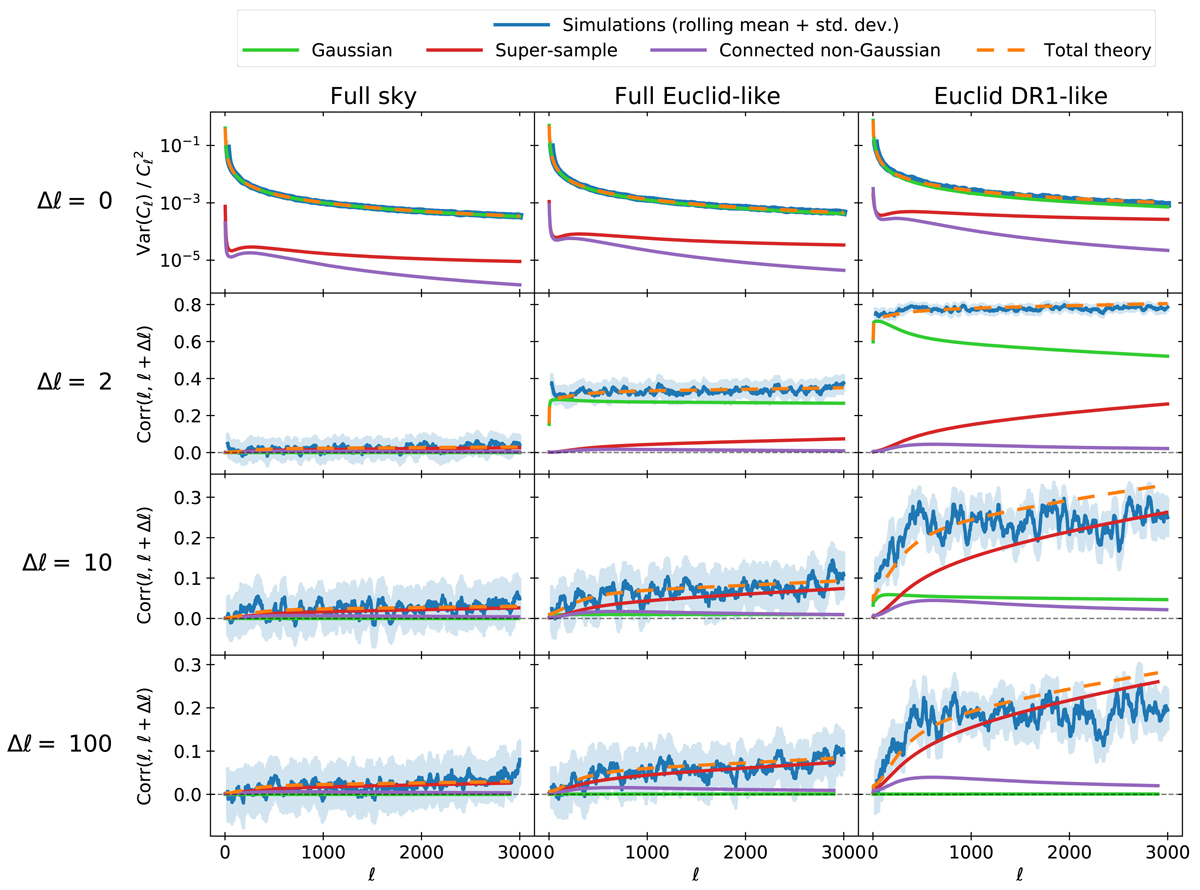
Comparison between the covariance predicted by theory and measured from simulations, for the three masks. Top row: variance divided by the power spectrum squared, and lower three rows: correlation. In all panels the simulated line is a rolling average over 50 ℓs, and the shaded region is the standard deviation over this range. The covariance shown here is for the shear E-mode power spectrum in the lowest redshift bin, without shape noise.
Current usage metrics show cumulative count of Article Views (full-text article views including HTML views, PDF and ePub downloads, according to the available data) and Abstracts Views on Vision4Press platform.
Data correspond to usage on the plateform after 2015. The current usage metrics is available 48-96 hours after online publication and is updated daily on week days.
Initial download of the metrics may take a while.