Free Access
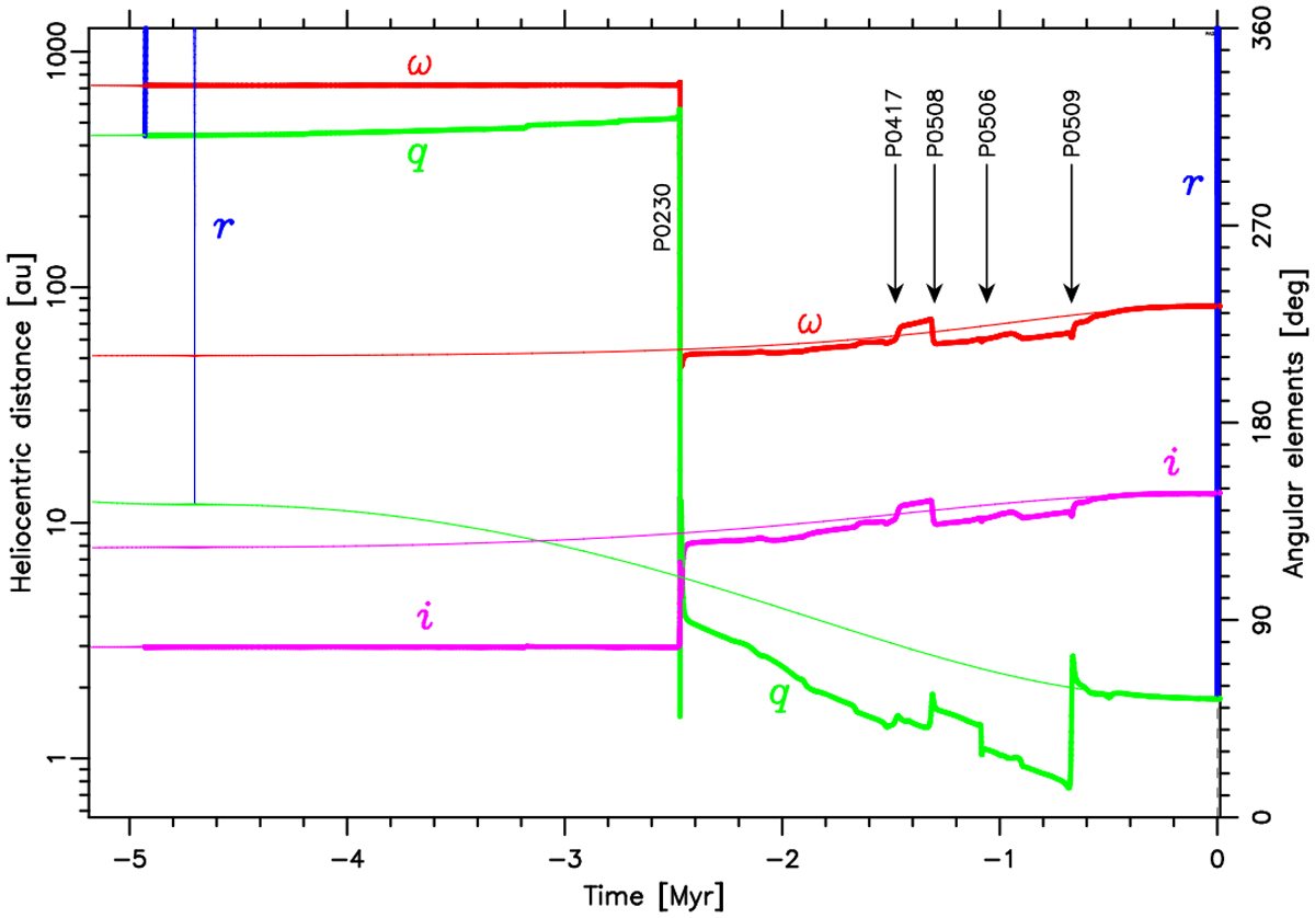
Fig. 6

Download original image
Dynamical past evolution of the nominal orbit of C/2017 K2 based on the “a9” orbital solution. Several individual stellar perturbations are marked. The meanings of the colors and line thicknesses are the same as in Fig. 2.
Current usage metrics show cumulative count of Article Views (full-text article views including HTML views, PDF and ePub downloads, according to the available data) and Abstracts Views on Vision4Press platform.
Data correspond to usage on the plateform after 2015. The current usage metrics is available 48-96 hours after online publication and is updated daily on week days.
Initial download of the metrics may take a while.