Open Access
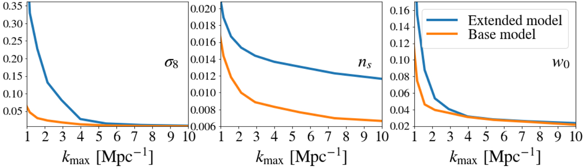
Fig. A.1.

Download original image
Marginalised error bars on σ8, nS, and w0 as a function of kmax, depending on the astrophysical model. Blue curve: With the extended model, without any prior on the additional parameter. Orange curve: With the base model of the main text.
Current usage metrics show cumulative count of Article Views (full-text article views including HTML views, PDF and ePub downloads, according to the available data) and Abstracts Views on Vision4Press platform.
Data correspond to usage on the plateform after 2015. The current usage metrics is available 48-96 hours after online publication and is updated daily on week days.
Initial download of the metrics may take a while.