Fig. 10

image

Download original image

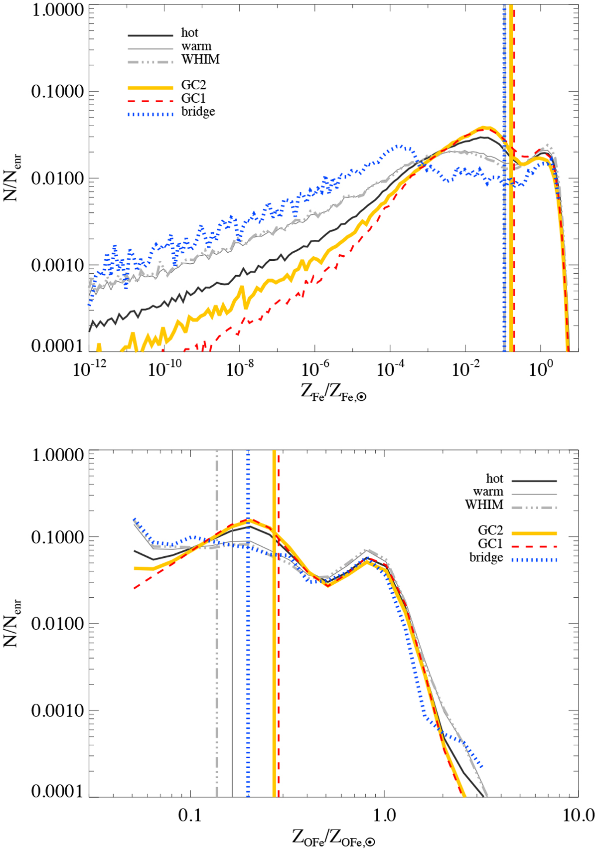
Distributions of Fe abundance and O/Fe abundance ratio for the gas selected at z = 0.07 in different spatial regions and thermal phases. For each gas selection, the corresponding distribution is normalised to the total number of enriched (i.e. ZFe > 0 or ZOFe > 0) gas particles.

Current usage metrics show cumulative count of Article Views (full-text article views including HTML views, PDF and ePub downloads, according to the available data) and Abstracts Views on Vision4Press platform.

Data correspond to usage on the plateform after 2015. The current usage metrics is available 48-96 hours after online publication and is updated daily on week days.

Initial download of the metrics may take a while.