Fig. 7

image

Download original image

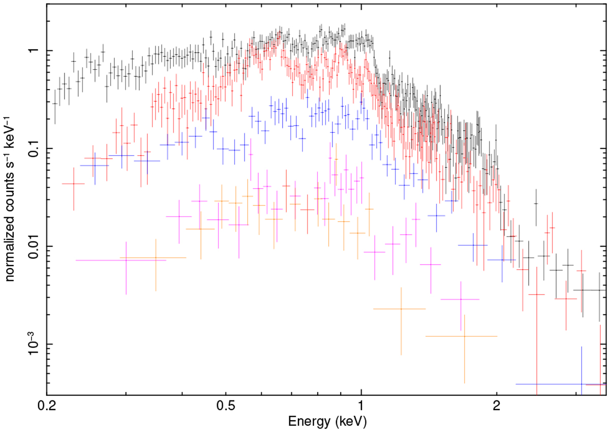
X-ray spectra of η Cha members. We show the WTTS EG Cha (black) and EL Cha (blue), the TOs EH Cha (magenta) and EK Cha (orange), and the CTTS EP Cha (red). The spectra have a minimum of 5 counts/bin and are from the full eROSITA instrument.

Current usage metrics show cumulative count of Article Views (full-text article views including HTML views, PDF and ePub downloads, according to the available data) and Abstracts Views on Vision4Press platform.

Data correspond to usage on the plateform after 2015. The current usage metrics is available 48-96 hours after online publication and is updated daily on week days.

Initial download of the metrics may take a while.