Open Access

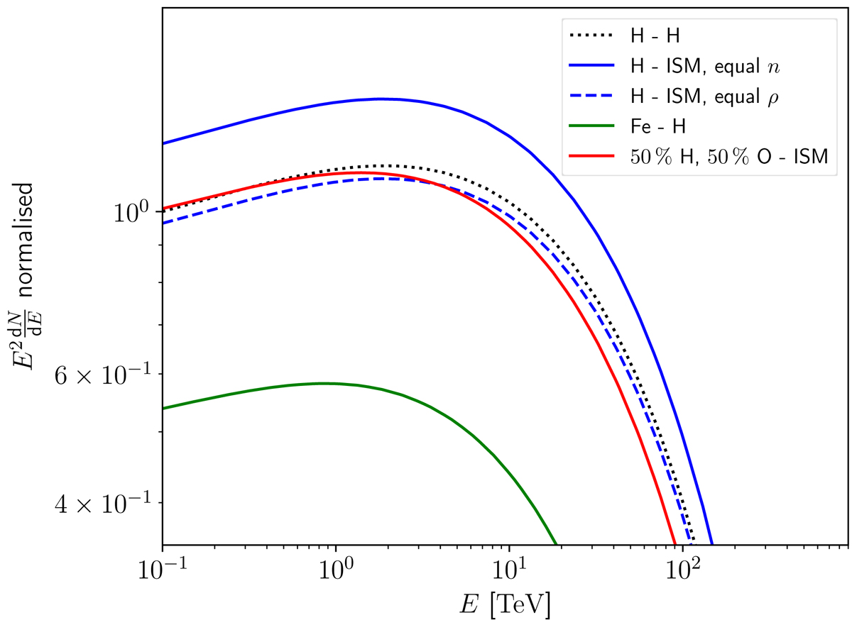
Fig. 1.

image

Download original image

Gamma-ray emission for different CR and ambient medium compositions. The total energy in CRs is the same in all cases, while the cutoff in each case is rigidity dependent, set to Z PeV. All curves are normalised to the value of the case of hydrogen colliding with a hydrogen ISM at 100 GeV (black dotted line). The solid blue line shows the emission for the same CR spectrum but with an ISM composed of different nuclei, with the same number density as in the pure hydrogen case. In the blue dotted line, hydrogen is colliding with an ISM, but now the total ISM mass is conserved. The green line shows the spectrum from a pure iron beam colliding with hydrogen. The red line shows the case for 50% hydrogen CRs and 50% oxygen CRs colliding with the ISM (also with the same number density as in the pure hydrogen case).

Current usage metrics show cumulative count of Article Views (full-text article views including HTML views, PDF and ePub downloads, according to the available data) and Abstracts Views on Vision4Press platform.

Data correspond to usage on the plateform after 2015. The current usage metrics is available 48-96 hours after online publication and is updated daily on week days.

Initial download of the metrics may take a while.