Open Access

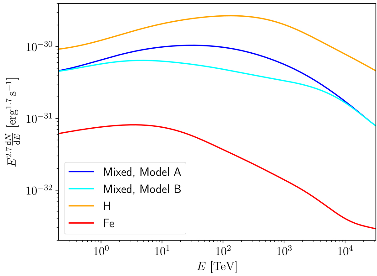
Fig. D.1.

image

Download original image

Gamma-ray production rates per cm3 per unit ISM number density from the mixed Model A (blue) and the mixed Model B (cyan) compared to the case assuming all CR particles from Model A are hydrogen (orange) or iron (red).

Current usage metrics show cumulative count of Article Views (full-text article views including HTML views, PDF and ePub downloads, according to the available data) and Abstracts Views on Vision4Press platform.

Data correspond to usage on the plateform after 2015. The current usage metrics is available 48-96 hours after online publication and is updated daily on week days.

Initial download of the metrics may take a while.