Open Access

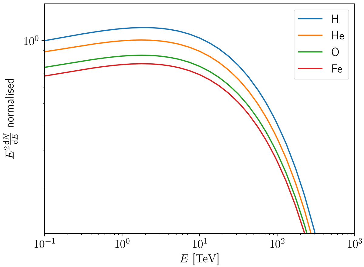
Fig. A.1.

image

Download original image

Gamma-ray spectra resulting from interactions of exponentially cut-off power-law distributions. To highlight the effect of shielding, here the same number of nucleons in a given energy range are present for each species, only distributed into the different particle nuclei: hydrogen, helium, oxygen, and iron.

Current usage metrics show cumulative count of Article Views (full-text article views including HTML views, PDF and ePub downloads, according to the available data) and Abstracts Views on Vision4Press platform.

Data correspond to usage on the plateform after 2015. The current usage metrics is available 48-96 hours after online publication and is updated daily on week days.

Initial download of the metrics may take a while.